EasyManua.ls Logo

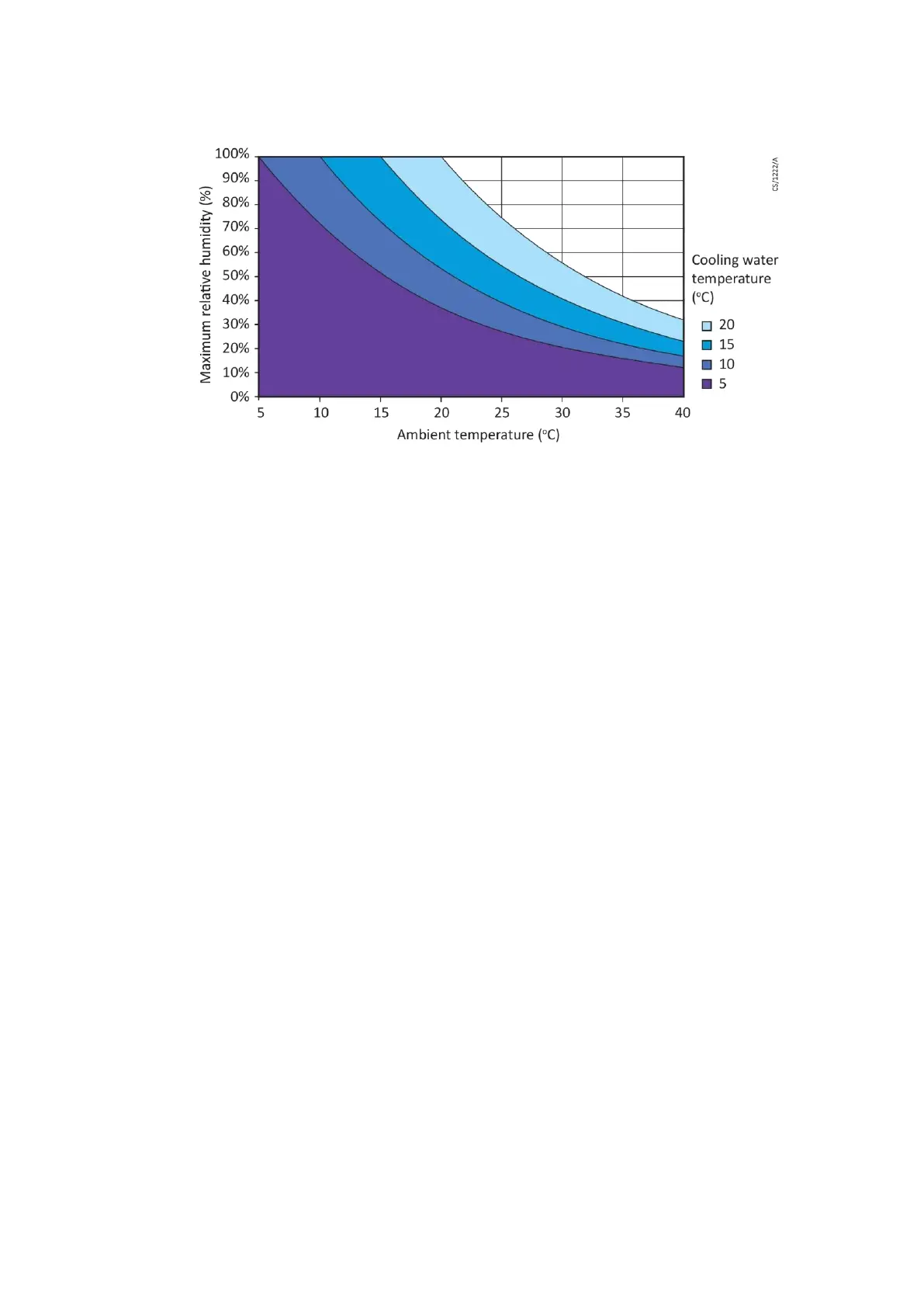
Edwards nEXT730 - Figure 9 Maximum Relative Humidity to Avoid Condensation with Water Cooling

Edwards nEXT730
137 pages
Print Icon
To Next Page IconTo Next Page
To Next Page IconTo Next Page
To Previous Page IconTo Previous Page
To Previous Page IconTo Previous Page
Loading...
B8J200880_E - Technical data
Page 36
Figure 9 Maximum relative humidity to avoid condensation with water cooling

Table of Contents

Related product manuals