EasyManua.ls Logo

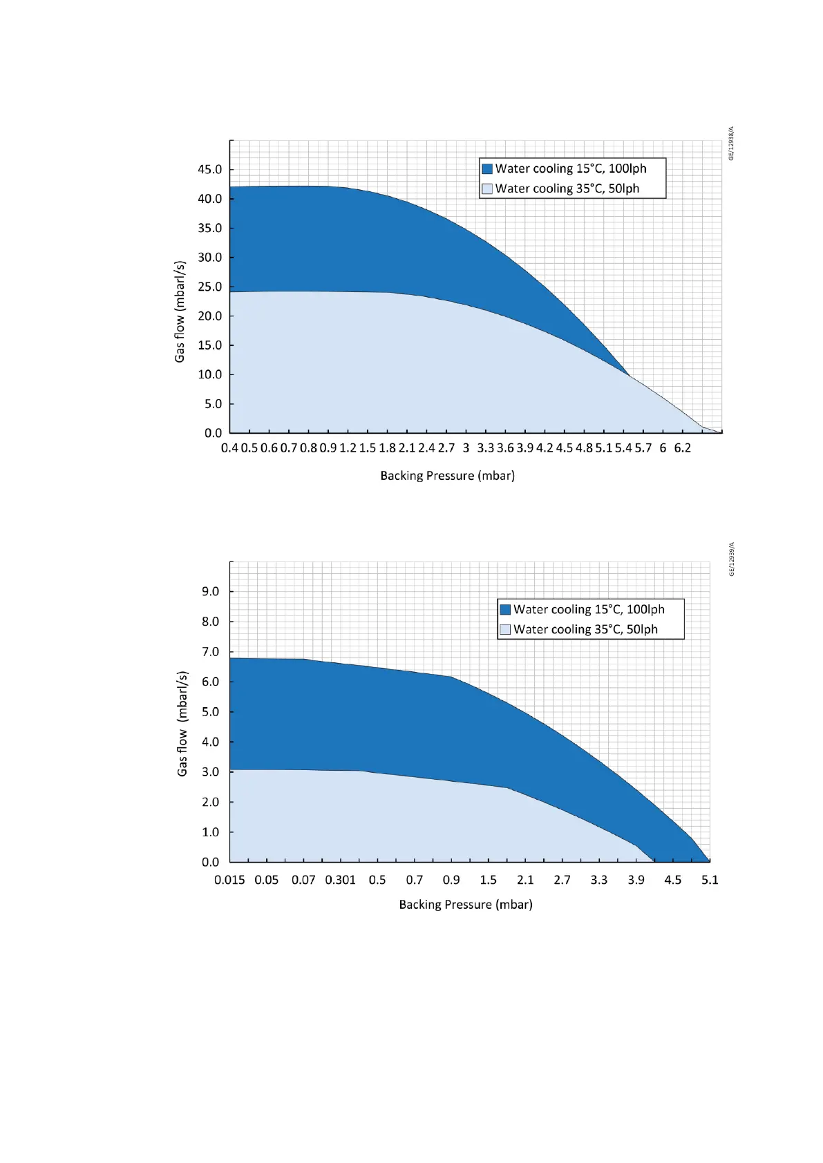
Edwards nEXT730 - Figure 12 Cooling Requirements for Nitrogen for Next730 Q;930 Q; Figure 13 Cooling Requirements for Argon for Next730 Q;930 Q

Edwards nEXT730
137 pages
Print Icon
To Next Page IconTo Next Page
To Next Page IconTo Next Page
To Previous Page IconTo Previous Page
To Previous Page IconTo Previous Page
Loading...
B8J200880_E - Technical data
Page 38
Figure 12 Cooling requirements for nitrogen for nEXT730Q/930Q
Figure 13 Cooling requirements for argon for nEXT730Q/930Q

Table of Contents

Related product manuals