EasyManua.ls Logo

GE DR60 - Page 14

GE DR60
124 pages
Print Icon
To Next Page IconTo Next Page
To Next Page IconTo Next Page
To Previous Page IconTo Previous Page
To Previous Page IconTo Previous Page
Loading...
14
Not installed
XX
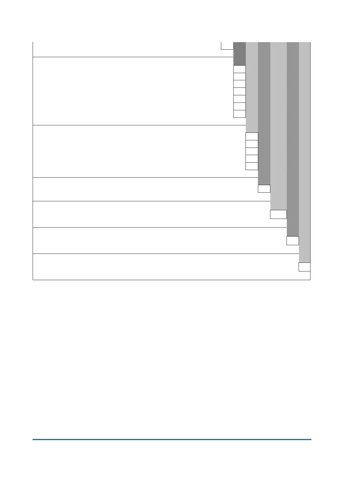
Slot H - Flexible I/O
Options
16 x 24/48/125/250 V binary inputs
B1
6 x 24/48/125/250 V binary inputs and 8 x binary outputs
B2
4 x VT 115 V and 4 CT 1/5 A RMS measurement analog inputs
ME
4 x VT 115 V and 4 x CT 1 A RMS protection analog inputs
P1
4 x VT 115V and 4 x CT 5 A RMS protection analog inputs
P5
4 x ±10 Vdc and 4 x 0-20 mAdc transducer inputs
DC
Not installed
XX
Primary Functions
Phasor Measurement Unit (PMU)
**
Waveform recorder
**
Disturbance Recorder
**
Continuous Disturbance Recorder
**
Trend Recorder
**
Secondary Functions
Standard Issue
1
Firmware Version
Latest available firmware - 02
02
Warranty
Standard warranty
0
Hardware Design Suffix
Initial version
A
Issue B

Table of Contents

Related product manuals