EasyManua.ls Logo

GE MiCOM P40

GE MiCOM P40
962 pages
To Next Page IconTo Next Page
To Next Page IconTo Next Page
To Previous Page IconTo Previous Page
To Previous Page IconTo Previous Page
Loading...
This is the minimum Zone 4 Reach setting, so:
Set Z4 Ph. Reach and Z4 Gnd. Reach = 3.96 W
Set Z4 Ph. Angle and Z4 Gnd. Angle = 80°
6.11.8 LOAD AVOIDANCE
The maximum full load current of the line can be determined from the calculation:
I
FLC
= [(Rated MVAFLC) / (
Ö
3 x Line kV)]
The settings must allow for a level of overloading, typically a maximum current of 120% I
FLC
prevailing on the
system transmission lines. Also, for a double circuit line, during the auto-reclose dead time of fault clearance on
the adjacent circuit, twice this level of current may flow on the healthy line for a short period of time. Therefore the
circuit current loading could be 2.4 x I
FLC
.
With such a heavy load flow, the system voltage may be depressed, typically with phase voltages down to 90% of
Vn nominal.
Allowing for a tolerance in the measuring circuit inputs (line CT error, VT error, protection accuracy, and safety
margin), this results in a load impedance which might be 3 times the expected rating.
To avoid the load, the blinder impedance needs to be set:
Z
£
(Rated phase-ground voltage Vn) / (I
FLC
x 3)
= (115/√3) / (I
FLC
x 3)
Set the V< Blinder voltage threshold at the recommended 70% of Vn = 66.4 x 0.7 = 45 V.
6.11.9
QUADRILATERAL RESISTIVE REACH SETTINGS
If applying Quadrilateral characteristics, as well as the Impedance Reaches, the Resistive Reaches also need to be
considered. The Resistive reaches of the phase-fault elements must be set to cover the maximum expected phase-
to-phase fault resistance. The Resistive reaches of the earth-fault elements should take into account the arc-
resistance and the tower footing resistance.
Phase-Fault Elements
Ideally, the Resistive reach should be set greater than the maximum fault arc resistance for a phase-phase fault
(Ra), calculated in terms of the minimum expected phase-phase fault current, the maximum phase conductor
separation, according to the formula developed by (van) Warrington as:
Ra = (28710 x L)/If x 1.4
where:
If = Minimum expected phase-phase fault current (A)
L = Maximum phase conductor separation (m)
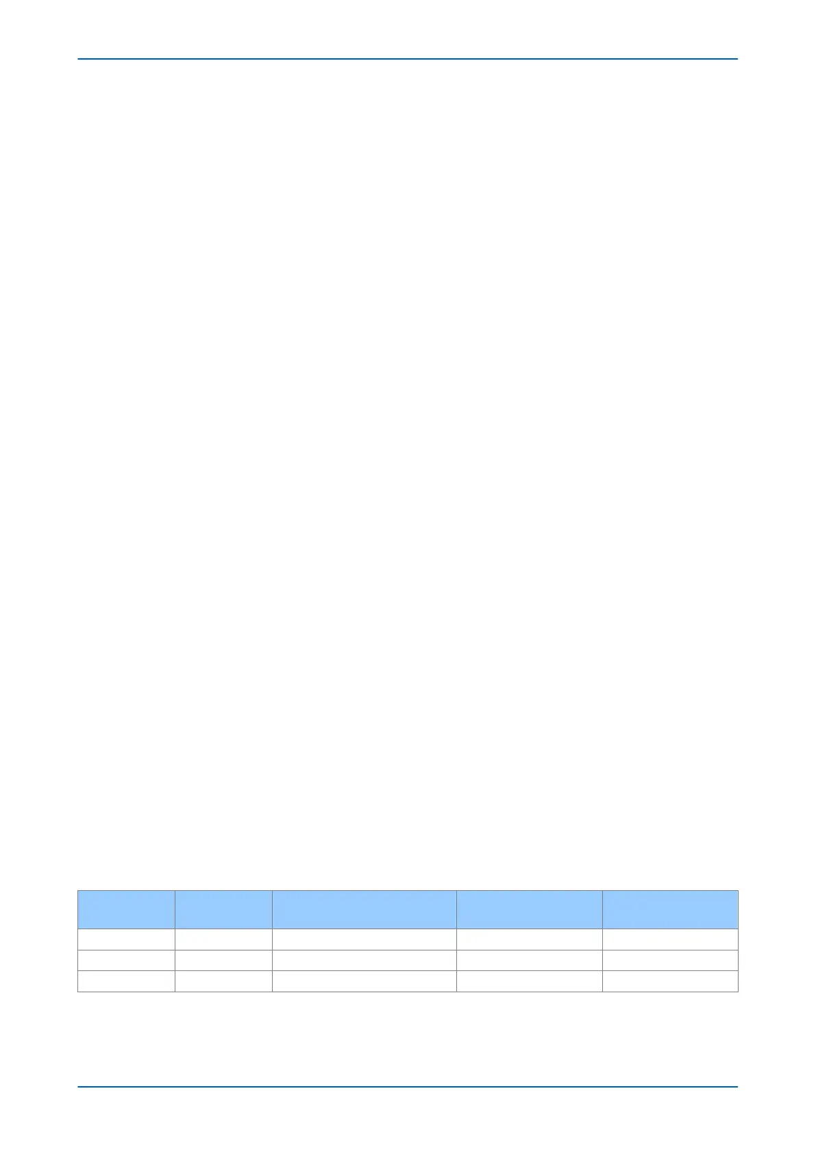
Typical figures for Ra are given, for different values of minimum expected phase fault currents, in the following
table:
Conductor spacing
(m)
Typical system
voltage (kV)
Ra for
If = 1 kA
Ra for
If = 2 kA
Ra for
If = 3 kA
4 110 - 132
7.2 W (primary) 2.8 W (primary) 1.6 W (primary)
8 220 - 275
14.5 W (primary) 5.5 W (primary) 3.1 W (primary)
11 380 - 400
19.9 W (primary) 7.6 W (primary) 4.3 W (primary)
P446SV Chapter 7 - Distance Protection
P446SV-TM-EN-1 161

Table of Contents

Related product manuals