EasyManua.ls Logo

Hirschmann Power MICE - Page 38

Hirschmann Power MICE
236 pages
Print Icon
To Next Page IconTo Next Page
To Next Page IconTo Next Page
To Previous Page IconTo Previous Page
To Previous Page IconTo Previous Page
Loading...
Entering the IP parameters
38
2.4
Loading the system configuration from the
Basic - L3P
Release
3.1
06/07
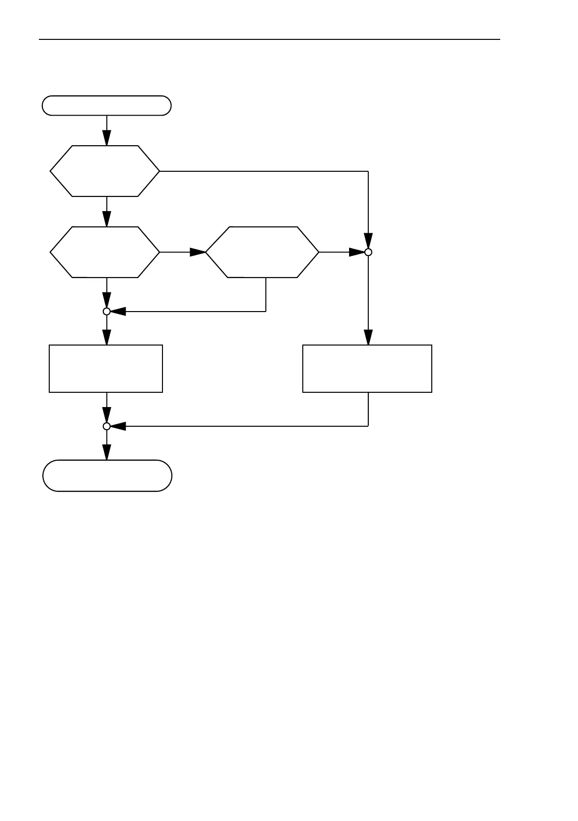
Fig. 12: Flow chart loading configuration data from ACA
ACA
vorhanden?
Ja
Konfiguration vom
ACA laden
ACA-LEDs blinken
synchron
Nein
Passwort im
Switch und ACA
identisch?
Ja
Nein
Voreingestelltes
Passwort im
Switch?
Ja
Nein
Switch starten
Konfigurationsdaten
geladen
Konfiguration aus
lokalem Speicher laden
ACA-LEDs blinken
alternierend

Table of Contents

Other manuals for Hirschmann Power MICE

Related product manuals