EasyManua.ls Logo

Hiwin D2 - Page 39

Hiwin D2
302 pages
Print Icon
To Next Page IconTo Next Page
To Next Page IconTo Next Page
To Previous Page IconTo Previous Page
To Previous Page IconTo Previous Page
Loading...
D2 Drive User Guide v1.8 3. Operation Principles
HIWIN Mikrosystem Corp. 33
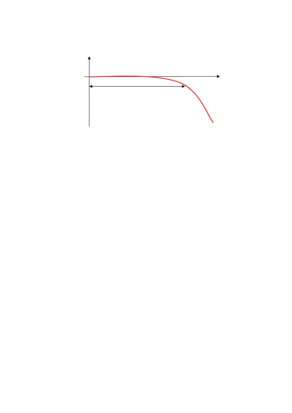
The bandwidth of Bode diagram is defined as the frequency at -3 dB, as shown in Fig. 3-11.
Fig. 3-11 Bandwidth of Bode diagram
0 dB
-3 dB
Bandwidth
Gain (dB)
f

Table of Contents

Related product manuals