EasyManua.ls Logo

Milestone DMA-80 evo - Page 127

Milestone DMA-80 evo
194 pages
Print Icon
To Next Page IconTo Next Page
To Next Page IconTo Next Page
To Previous Page IconTo Previous Page
To Previous Page IconTo Previous Page
Loading...
Milestone Srl MA213-003 – DMA-80 EVO – User Manual
125
The double beam function is an option available for DMA-80 EVO units with configuration Dual cell and
Tri cell. A dedicated detector, also called “reference”, is installed directly in front of the lamp and in perfect
line with the smallest cell (cell 0 in case of tri cell, cell 1 in case of dual cell) for the continue monitoring of
its complete intensity.
The double beam function guarantees a better signal to noise ratio, a lower quantification limit and a
superior precision.
It works like follow: The software takes account of the maximum and minimum (lamp off) intensity of the
light detected by the detectors before each analysis
- Maximum intensity of the light =100%
- Minimum intensity (lamp off) = 0%
Therefore:
- Maximum intensity (100%) - Minimum intensity (0%) = 100% of light
The electrical amplification (GAIN value) does not matter at this point, because it is a relative
measurement.
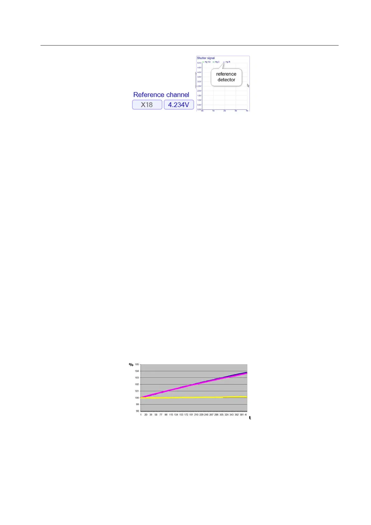
The corrected signal is:
%detector Hg / %reference * 100%
Where:
- % detector is the % of light on the measuring detector (back to smaller cell). Blue line
- % reference is the % of light on the reference detector (double beam detector). Viole line
- Corrected signal is the signal used for final peak detection in order to have a more stable baseline.
Yellow line
Example of baseline correction with variation of the % light
In this page you can also check the stability of detector signal and signal noise.

Table of Contents

Other manuals for Milestone DMA-80 evo