EasyManua.ls Logo

MR ECOTAP VPD CONTROL PRO - Page 95

MR ECOTAP VPD CONTROL PRO
192 pages
Print Icon
To Next Page IconTo Next Page
To Next Page IconTo Next Page
To Previous Page IconTo Previous Page
To Previous Page IconTo Previous Page
Loading...
8 Operation
Maschinenfabrik Reinhausen GmbH 2018 955252433/02 EN ECOTAP
®
VPD
®
CONTROL PRO
Setting ohmic resistance load
To enter the value for ohmic resistance load, proceed as follows:
1. Go to Settings > Parameters > Compensation > Ohmic resistance
load.
2. Enter ohmic resistance load.
3. Press the Accept button to save the modified parameter.
Setting inductive resistance load
To enter the value for inductive resistance load, proceed as follows:
1. Go to Settings > Parameters > Compensation > Inductive resistance
load.
2. Enter inductive resistance load.
3. Press the Accept button to save the modified parameter.
Entering length of line
To enter the length of line, proceed as follows:
1. Go to Settings > Parameters > Compensation > Length of line.
2. Enter length of line.
3. Press the Accept button to save the modified parameter.
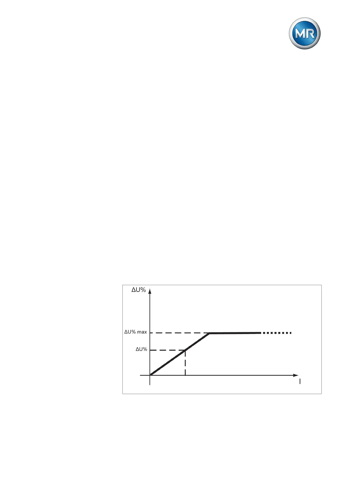
8.7.2 Z compensation
To keep the voltage constant for the consumer, you can use Z compensation
to activate a current-dependent increase in voltage. You can also define a
limit value to avoid excess voltage on the transformer.
Figure64: Z compensation

Table of Contents