EasyManua.ls Logo

Panasonic SA-MAX200PH - Page 104

Panasonic SA-MAX200PH
122 pages
Print Icon
To Next Page IconTo Next Page
To Next Page IconTo Next Page
To Previous Page IconTo Previous Page
To Previous Page IconTo Previous Page
Loading...
104
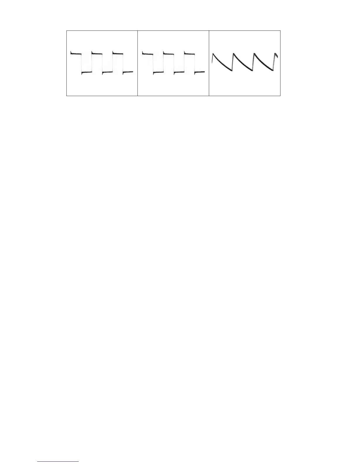
WF No. IC2504-27,28,32,35
(PLAY)
28Vp-p(500nsec/div)
WF No. IC2504-39,40 (PLAY)
28Vp-p(1usec/div)
WF No. IC6000-5 (PLAY)
1.5Vp-p(2usec/div)

Table of Contents

Related product manuals