EasyManua.ls Logo

Patton electronics SmartNode Series - Tone Configuration Task List; Configuring Call-Progress-Tone Profiles; Assign Tone-Sets to a PSTN Interfaces

Default Icon
655 pages
Print Icon
To Next Page IconTo Next Page
To Next Page IconTo Next Page
To Previous Page IconTo Previous Page
To Previous Page IconTo Previous Page
Loading...
Tone configuration task list 526
SmartWare Software Configuration Guide 42 • Tone configuration
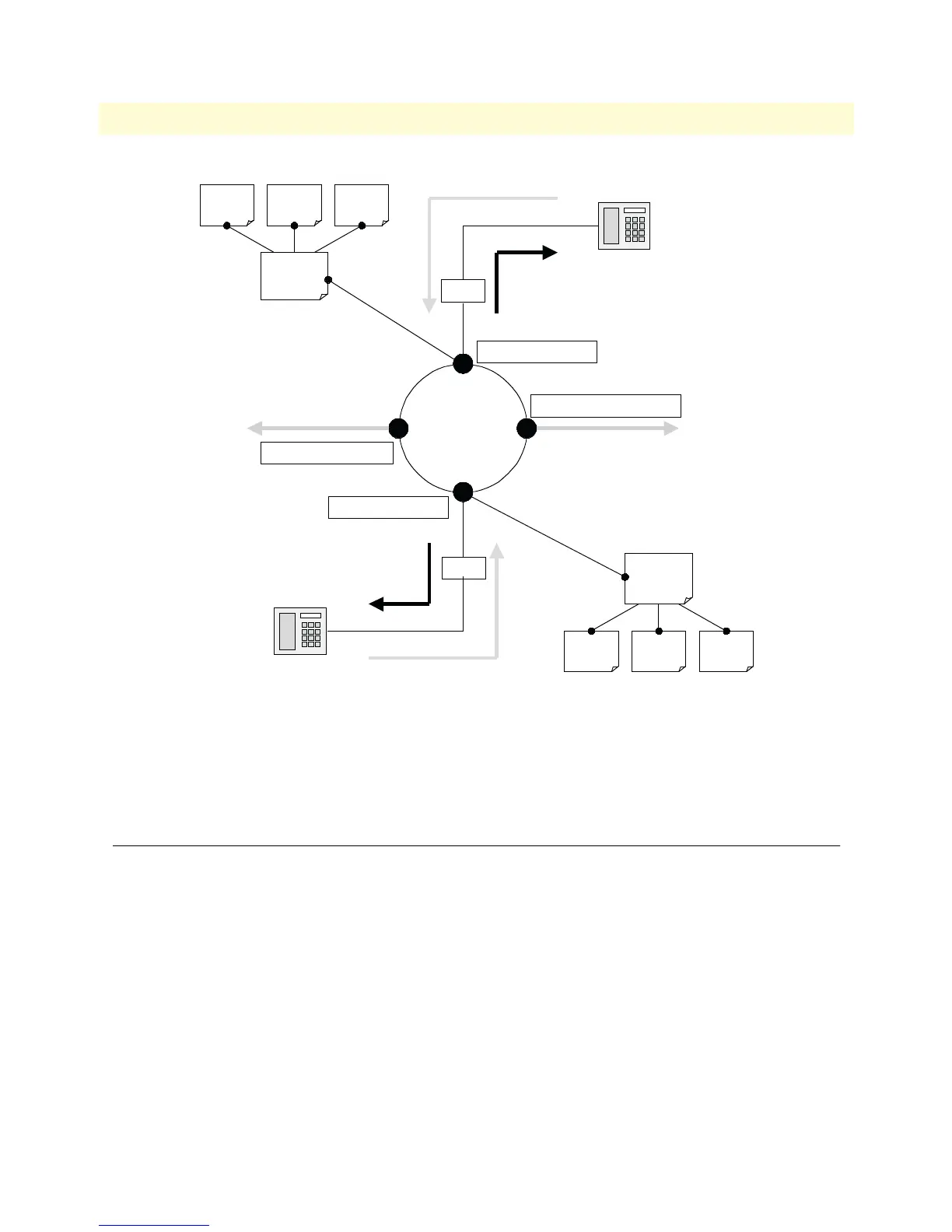
Figure 76. Assign tone-sets to a PSTN interfaces
Note There is a default tone-set named default, which maps the three Swiss stan-
dard in-band tones. Create a tone-set profile only if this default profile corre-
sponds not with your country.
Tone configuration task list
To configure call progress tones, perform the tasks described in the following sections.
Configuring call-progress-tone profiles
Configuring tone-set profiles
Enabling the generation of local in-band tones
Showing call-progress-tone and tone-set profiles
Configuring call-progress-tone profiles
Each call-progress-tone consists of a sequence of different tones and pauses. Arbitrary tone cadences can be
configured. With these parameters all country specific tones can be defined. Tone configuration knows only
one command that have to be used repeatedly. The sequence in which the commands are entered (or appear in
the config file) defines the sequence in which the corresponding elements are played.
Context CS
Switch
ISDN Interface 11
ISDN Interface 10
ISDN
ISDN
Dial-A Ring-A Busy-A
call-progress-tone
profiles
tone-set
Profile
A
Dial-B Ring-B Busy-B
call-progress-tone profiles
tone-set
Profile
B
Call Setup A
Call Setup B
Tone Play-Out Ring -B
Tone Play-Out Ring -A
H323 Interface MyH323
Call Setup B
Call Setup A
SIP Interface MySIP

Table of Contents