EasyManua.ls Logo

Tektronix KEITHLEY 2450-EC - Page 33

Tektronix KEITHLEY 2450-EC
93 pages
To Next Page IconTo Next Page
To Next Page IconTo Next Page
To Previous Page IconTo Previous Page
To Previous Page IconTo Previous Page
Loading...
Section
2: Cyclic Voltammetry Models 2450-EC, 2460-EC, and 2461-EC Potentiostats And Galvanostats
User's Manual
2-18 077110402/November 2016
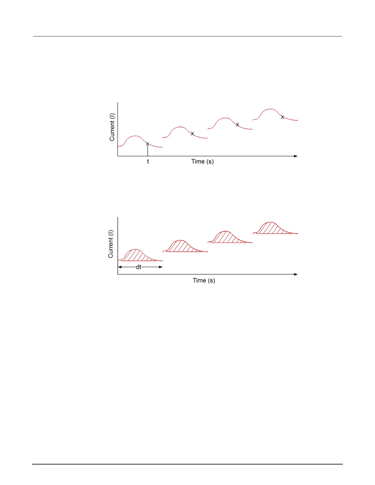
Analog integration current method
To measure the resulting current at each step, many digital potentiostats make a single current
measurement at a fixed point (t) for each discrete voltage step, which may not be at the same time for
each step. See the following figure.
Figure 40: Voltage step measurements
Conversely, the 2450-EC , 2460-EC, and 2461-EC use an internal analog integrator to integrate
current over most of the voltage step and report the average current over the aperture time (dt) of the
voltage step. See the following figure. This average current is used in the generation of the
voltammogram.
Figure 41: Current integration

Table of Contents

Related product manuals