EasyManua.ls Logo

Toa VX-050DA - 9. SPEAKER LINE INITIAL SETTING; 9.1. Setting Items; 9.2. OPEN;SHORT Criterion by Comparing the Current Value with the Initial Value

Toa VX-050DA
162 pages
Print Icon
To Next Page IconTo Next Page
To Next Page IconTo Next Page
To Previous Page IconTo Previous Page
To Previous Page IconTo Previous Page
Loading...
3-96
Chapter 3
INSTALLATION AND SETTING PROCEDURES (HARDWARE)
9. SPEAKER LINE INITIAL SETTING
To perform Speaker Line Surveillance, be sure to make the initial settings for the VX-3000F as follows after
connection completion of the VX-3000 system.
9.1. Setting Items
[Initial impedance value setting]
The VX-3000F determines whether the speaker line is open or shorted using this initial value as reference value
(normal impedance value).
Important
When using the surveillance function, be sure to set the initial impedance value.
[Speaker line OPEN sensitivity adjustment]
The sensitivity can be adjusted so that the VX-3000F can judge the speaker line open on the basis of the initial
value.
[Speaker line SHORT sensitivity adjustment]
The sensitivity can be adjusted so that the VX-3000F can judge the speaker line shorted on the basis of the
initial value.
9.2. OPEN/SHORT Criterion by Comparing the Current Value with the Initial Value
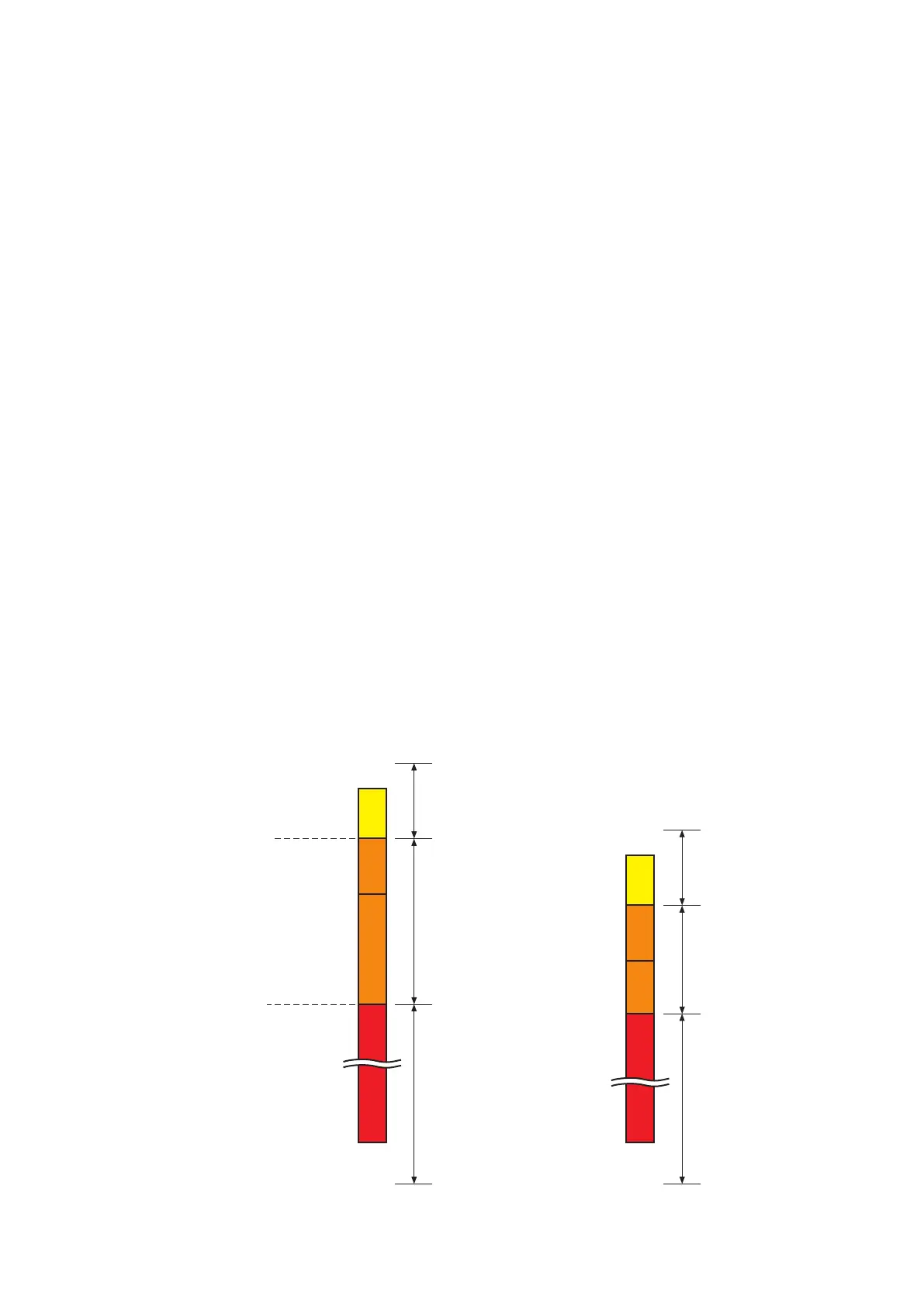
The set sensitivity values and the current value are expressed as rations to the initial value (defined as100 %).
If OPEN and SHORT sensitivities remain factory-preset, the speaker line is judged shorted when the current
value is less than half the initial value, and open when it is more than twice the initial value.
5 %
1 %
9999 %
SHORT
NORMAL
OPEN
100 %Initial value (Reference value)
SHORT sensitivity set value
(5 – 50 variable, Default: 50)
OPEN sensitivity set value
(101 – 800 variable, Default: 200)
Impedance ratio
(Sensitivity adjustable range) (Current value)
(Judgment)
800 %
5 %
25 %
150 %
1 %
9999 %
SHORT
NORMAL
OPEN
100 %
[Sensitivity setting example]
(Judgment)
When the SHORT sensitivity is set to 25 %,
and OPEN sensitivity to 150 %.
800 %

Table of Contents

Related product manuals