EasyManua.ls Logo

ABB PCS100 UPS-I - RMS Detection; Transient Detection

ABB PCS100 UPS-I
144 pages
Print Icon
To Next Page IconTo Next Page
To Next Page IconTo Next Page
To Previous Page IconTo Previous Page
To Previous Page IconTo Previous Page
Loading...
70 PCS100 UPS-I User Manual
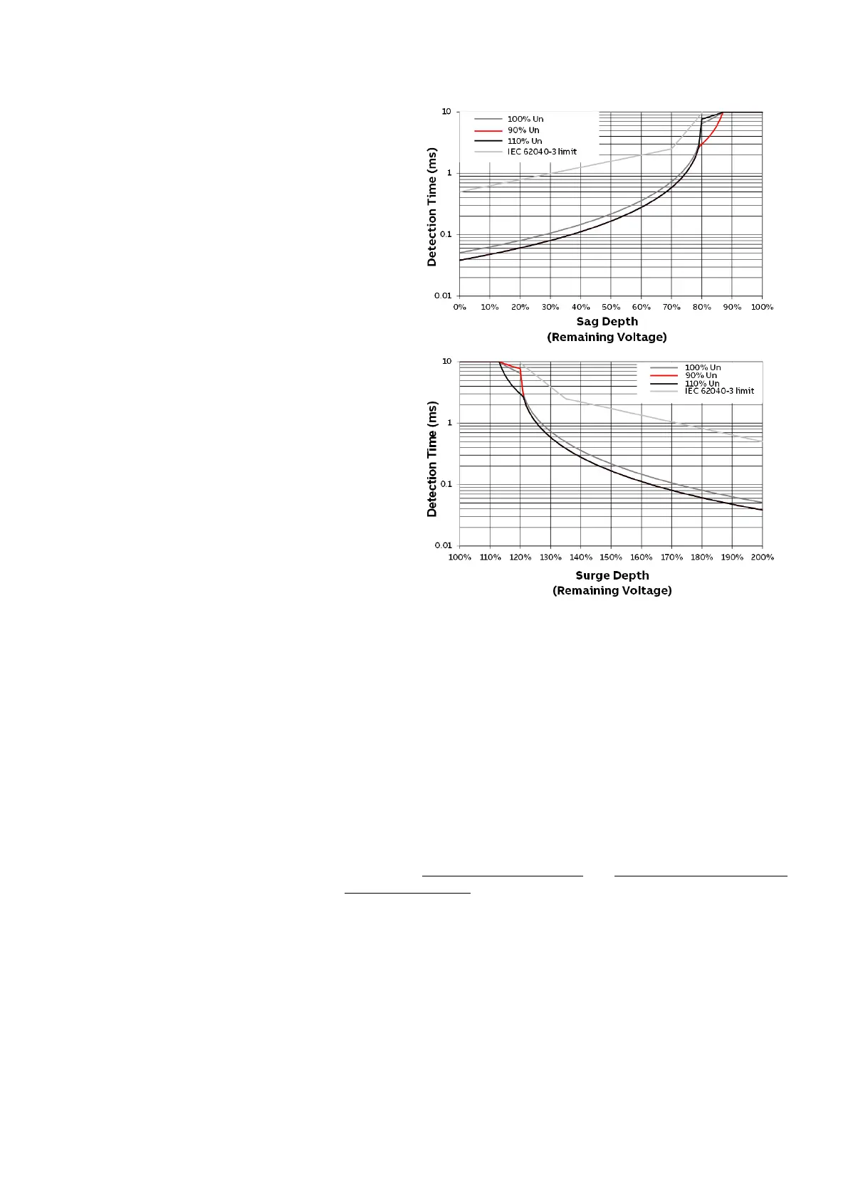
The default voltage event detection response is
shown in the following curves.
Four curves are shown in each of the figures. The
100% Un represents the curve when the historical
voltage was at the nominal value for the supply. The
90% Un and 110% Un represent the condition where
the historical voltage was 10% below and 10% above
the nominal voltage. The IEC62040-3 limit is a
reference baseline curve and represents the curve
required to meet the IEC62040-3 UPS standards for
Classification 2 with 0.5 ms allowance for transfer to
the inverter operation.
Figure 9-1: Default voltage event detection response
curves
9.1.1 RMS detection
RMS detection is a slow response detection based on the deviation of the utility supply RMS voltage from the
supply voltage set point. Because RMS measurement has a minimum measurement time of 1/2 cycle the
maximum response rate of this detection can take up to 1/2 cycle.
This method is sensitive to half-cycle voltage changes and will reject harmonic voltage deviations apart from their
minor impact on the total RMS value.
The RMS detector is responsible for detecting the smaller sag, surge, overvoltage and undervoltage events but is
insensitive to phase changes.
The thresholds for this detection are set by parameters 530 RMS Sag Threshold and 531 RMS Surge Threshold
with the supply voltage set point parameter 121 Utility Voltage.
When the RMS detection is triggered the PCS100 UPS-I will display “127 Discharge RMS” in the event log.
9.1.2 Transient detection
Transient detection is a fast response detection based on the deviation of the utility instantaneous voltage from
the instantaneous value of the utility supply voltage set point. It monitors the instantaneous three phase voltage
vector and compares it with an ideal voltage vector which is phase locked to the historical utility supply voltage.
This detector is sensitive to large momentary voltage disturbances like deep sags and surges, outages including
phase jumps and frequency deviation and is the primary mechanism used to rapidly initiate a transfer when a
major voltage event occurs.
To prevent false transfers occurring due to harmonic distortion or switching transients on the supply the
transient detector is carefully optimized.

Table of Contents

Related product manuals