EasyManua.ls Logo

Covidien Nellcor - Satseconds Alarm Management Feature; Figure 10-2. Series of Spo

Covidien Nellcor
120 pages
Print Icon
To Next Page IconTo Next Page
To Next Page IconTo Next Page
To Previous Page IconTo Previous Page
To Previous Page IconTo Previous Page
Loading...
SatSeconds™ Alarm Management Feature
Operator’s Manual 85
results in an increase in the dynamic averaging. If the resulting dynamic averaging
time exceeds 20 seconds for SpO
2
, the algorithm sets the pulse search bit while
continuing to update SpO
2
and pulse rate values every second.
As such measurement conditions extend, the amount of data required may
continue to increase. If the dynamic averaging time reaches 40 seconds, and/
or 50 seconds for pulse rate, a low priority alarm state results: the algorithm
sets the Pulse Timeout bit and the monitoring system reports a zero saturation
indicating a loss-of-pulse condition, which should result in an audible alarm.
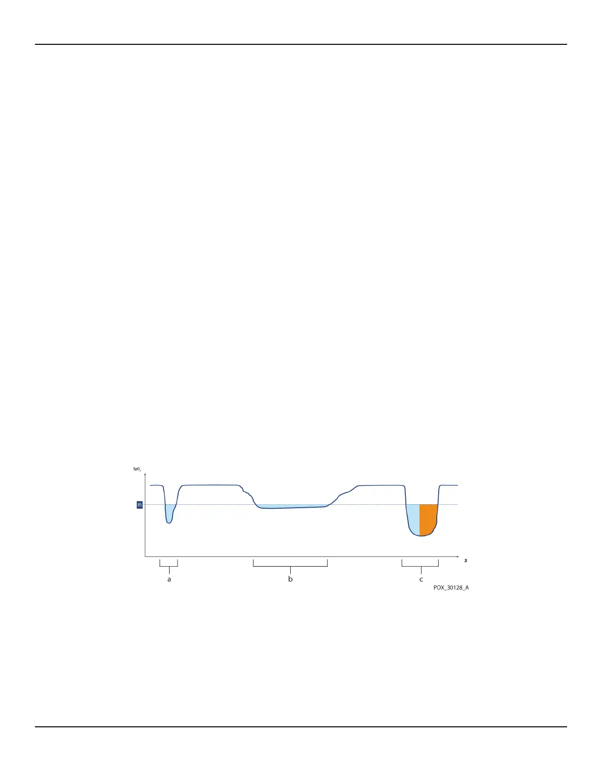
10.6 SatSeconds™ Alarm Management Feature
The monitoring system monitors the percentage of hemoglobin binding sites
saturated with oxygen in the blood. With traditional alarm management, upper
and lower alarm limits are set to alarm at specific SpO
2
levels. When the SpO
2
level fluctuates near an alarm limit, the alarm sounds each time it violates the
alarm threshold. SatSeconds monitors both degree and duration of desaturation
as an index of desaturation severity. Thus, the SatSeconds feature helps distin-
guish clinically significant events from minor and brief desaturations that may
result in nuisance alarms.
Consider a series of events leading to a violation of the SatSeconds alarm limit.
An adult patient experiences several minor desaturations, then a clinically sig-
nificant desaturation.
Figure10-2.Series of SpO2 Events
a
First SpO
2 Event
b
Second SpO
2 Event
c
Third SpO
2 Event

Table of Contents

Related product manuals