EasyManua.ls Logo

EWM Tetrix 351 - Design and Function - TIG Synergic Operating Principle (Continued); Non-latched Operation Mode Version C Details

EWM Tetrix 351
138 pages
Print Icon
To Next Page IconTo Next Page
To Next Page IconTo Next Page
To Previous Page IconTo Previous Page
To Previous Page IconTo Previous Page
Loading...
Design and function
TIG Synergic operating principle
74
099-000115-EW501
17.06.2015
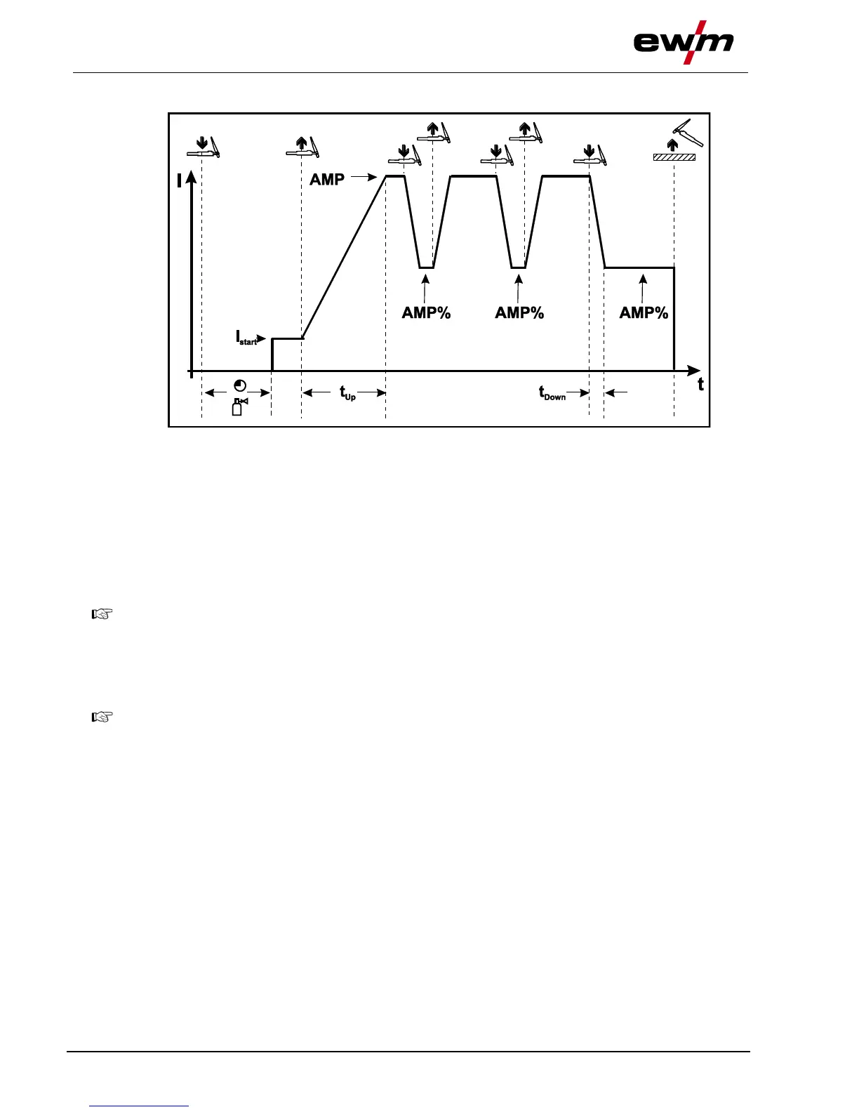
5.13.10.6 Non-latched operation, version C
Figure 5-34
1st cycle
Press torch trigger 1, the gas pre-flow time elapses.
HF ignition pulses jump from the electrode to the workpiece, the arc ignites.
Welding current flows and immediately adopts the ignition current value set (search arc at minimum
setting). HF is switched off.
2nd cycle
Release torch trigger 1.
The welding current increases in the set up-slope time to the main current AMP.
Pressing torch trigger 1 starts the slope (tS1) from main current AMP to secondary current
AMP%. Releasing the torch trigger starts the slope (tS2) from the secondary current AMP% back
to the main current AMP. This process can be repeated as often as required.
The welding process is ended by the arc interruption in the secondary current (removing the
torch from the workpiece until the arc is extinguished).
The slope times can be set- See 5.22 Machine configuration menu chapter.
This operating mode needs to be activated- See 5.22 Machine configuration menu chapter
section.

Table of Contents

Related product manuals