EasyManua.ls Logo

Festo EMCS-ST - Restart

Festo EMCS-ST
114 pages
Print Icon
To Next Page IconTo Next Page
To Next Page IconTo Next Page
To Previous Page IconTo Previous Page
To Previous Page IconTo Previous Page
Loading...
Festo — EMCS-ST — 2021-03b
Drive system
49
1
2
3
4
5
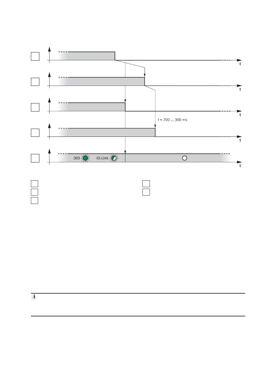
Fig. 13: Switch-off behaviour in case of power failure
1
Mains Power ON è OFF (230 V AC)
2
[Power] Power ON (24 V DC)
3
[Logic] Power ON (24 V DC)
4
Power stage active (position controlled)
5
LED C/Q
10.2.7
Restart
Function
The restart includes the following functions:
Acknowledge an error
Re-initialise reference end position
Update the parameter set in the integrated drive
è
10.2.2 Parameter set
Acknowledge error
In the HMI, DIO or IO-Link mode, a restart (reset) acknowledges all errors and deletes them from the
diagnostic memory.
The restart is executed via Power OFF/ON of the logic voltage L
+
[Logic, Pin 1].
Additional information on acknowledging errors
è
12.2.1 Acknowledge error
An active error message is only deleted from the diagnostic memory if the cause of the error has been
remedied.

Table of Contents

Related product manuals