EasyManua.ls Logo

Keysight 34972A - Page 313

Keysight 34972A
353 pages
Print Icon
To Next Page IconTo Next Page
To Next Page IconTo Next Page
To Previous Page IconTo Previous Page
To Previous Page IconTo Previous Page
Loading...
Tutorial 7
Keysight 34970A/34972A User’s Guide 313
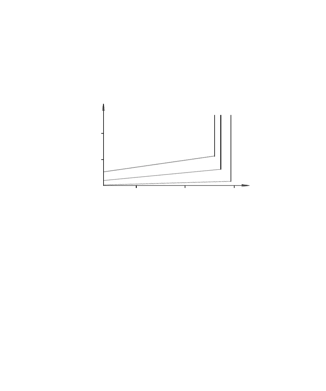
low-voltage, low-frequency signals. The effects of both internal noise and external
noise pickup are critical when measuring “slow” signals. The error is inversely
proportional to frequency. Measurement errors will also occur if you attempt to
measure the frequency (or period) of an input following a DC offset voltage
change. You must allow the internal DMM’s input DC blocking capacitor to fully
settle before making frequency measurements.
If the external noise pickup becomes large enough to exceed the hysteresis of the
measuring circuitry, the frequency function may actually become unusable.
External shielding and low-pass filtering may help.
Input Random Noise (RMS)
1 mV 2 mv 3 mv
10 mv, 10 Hz
10 mv, 100 Hz
100 mV, 10 Hz
1%
0.5%
Input Error

Table of Contents

Related product manuals