EasyManua.ls Logo

Milestone DMA-80 evo - Page 64

Milestone DMA-80 evo
194 pages
Print Icon
To Next Page IconTo Next Page
To Next Page IconTo Next Page
To Previous Page IconTo Previous Page
To Previous Page IconTo Previous Page
Loading...
Milestone Srl MA213-003 – DMA-80 EVO – User Manual
62
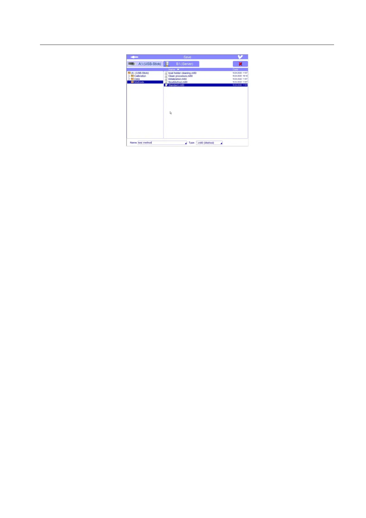
For opening, deleting, and printing method file, refers to chapter 5.10.2 and 5.10.4

Table of Contents

Other manuals for Milestone DMA-80 evo