EasyManua.ls Logo

Omron NS10-TV Series - Page 495

Omron NS10-TV Series
682 pages
Print Icon
To Next Page IconTo Next Page
To Next Page IconTo Next Page
To Previous Page IconTo Previous Page
To Previous Page IconTo Previous Page
Loading...
Section 2 NS Series Functions 2-20 Special Functions
2-446
NS Series Programming Manual
N
N
N
o
o
o
t
t
t
e
e
e
The order that data is saved in a CSV file can be changed by setting the data log file output format
on the History Tab Page under
Settings.
HOST1 is the host name set in the Comm. Setting Dialog Box, which is opened by selecting PT –
Communication Setting
.
Up to 999 CSV files can be saved each for Trend@.csv and Trd@@. csv. When this number is ex-
ceeded, the saved files will be overwritten in order beginning with 001.
If a Trd@@.csv file is saved, a folder is created for each group below the \LOG\Trend folder in the
Memory Card directory. The name of the folder will be the name of the output file. Up to 999 CSV
files will be saved in each folder if the output file names are less than five characters long. If more
than 999 files are saved, the saved files will be overwritten in order beginning from 001. Only up to
099 CSV files will be saved in each folder if the output file names are six characters or more. If
more than 099 files are saved, the saved files will be overwritten in order beginning from 001.
If the Memory Card is full when a data log save is executed, the file with the oldest file number will
be overwritten. (Before project version 5.0)
Saving will be stopped when the Memory Card has no more available space. When the file number
reaches the upper limit, the oldest number will be overwritten as new files are saved. (This applies
to project version 6.0 or higher.)
Maximum Number of Records
Up to 50,000 records can be kept for each group.
The number of records is set under PT – Data Log setting on the CX-Designer.
The set ring buffer format is fixed for records. With the ring buffer format, the oldest data is deleted
when the maximum number of records is exceeded and new data is then recorded.
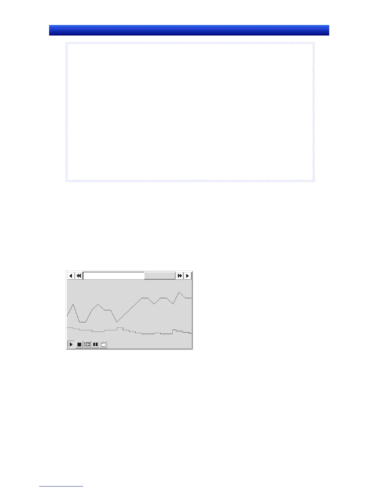
Checking Records
Records can be checked during operation by using data log graph functional objects.
Open the screen on which the data log graph was created.

Table of Contents

Other manuals for Omron NS10-TV Series

Related product manuals