EasyManua.ls Logo

Santerno Sinus M - 9.7 Frequency limit; Skip frequency

Santerno Sinus M
219 pages
Print Icon
To Next Page IconTo Next Page
To Next Page IconTo Next Page
To Previous Page IconTo Previous Page
To Previous Page IconTo Previous Page
Loading...
9-22
Skip frequency
Group Code Parameter Name Setting Range Initial Unit
Function
group 2
H10 [Skip frequency select] 1
0 ~ 1 0
H11 [Skip frequency low limit 1] - 0.1 ~ 400 10.00 Hz
~ ~
H16 [Skip frequency low limit 3] - 0.1 ~ 400 35.00 Hz
Set H10 to 1.
Run frequency setting is not available within the skip frequency range of H11-H16.
Skip frequency is settable within the range of F21 [Max frequency] and F23 [Start
frequency].
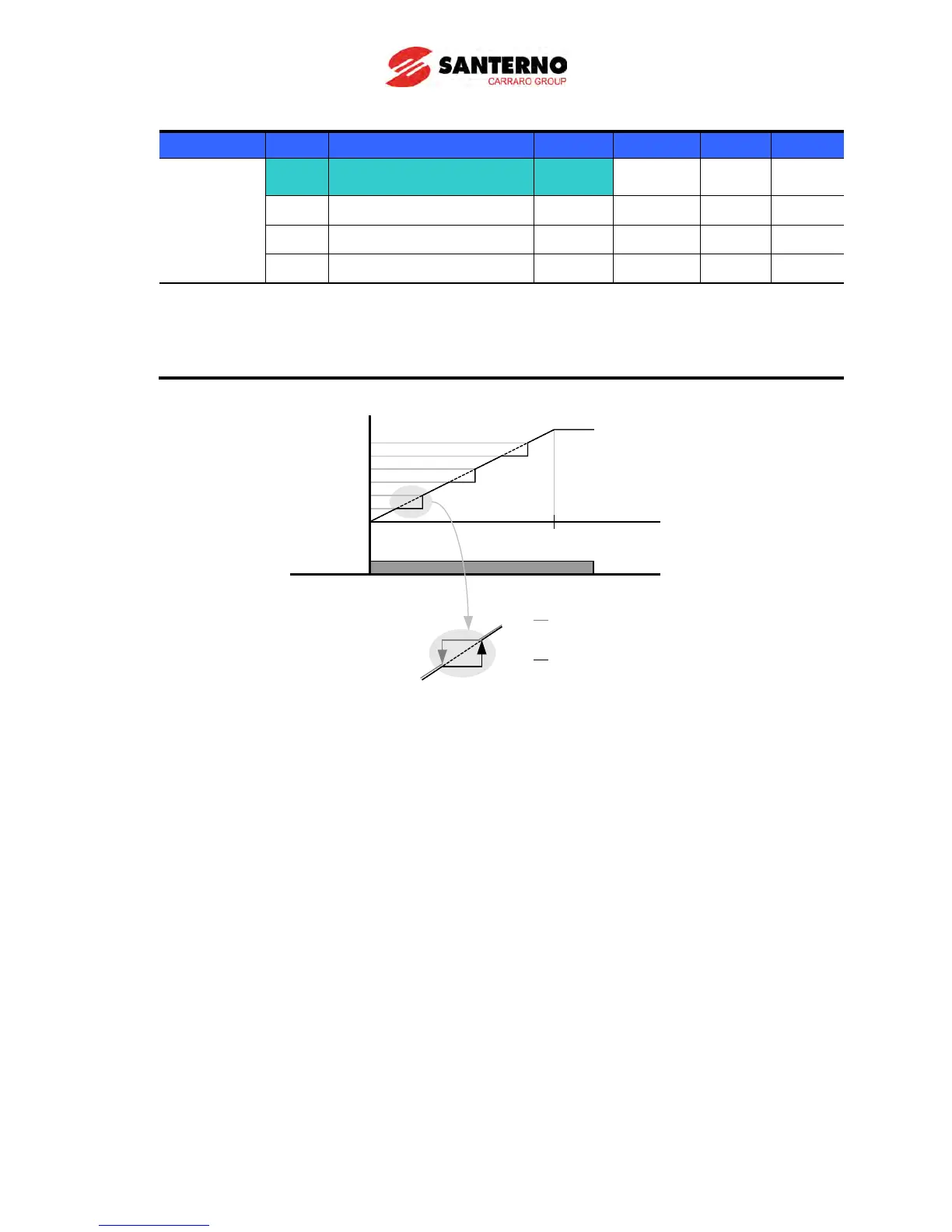
When it is desired to avoid resonance, attributable to the natural frequency of a mechanical system,
these parameters allow resonant frequencies to be skipped. Three different areas of Skip frequency can
be set with the skip frequencies set to either the top or bottom point of each area. However, during
acceleration or deceleration, the run frequency within the set area is valid.
In case of increasing frequency setting as shown above, if frequency set value (Analog setting via
voltage, current, RS485 communication or digital setting via keypad) is within the range of Skip frequency,
it maintains skip frequency low limit value. If the set value is outside the range, it increases the frequency
following the set acceleration ramp.
In case of decreasing frequency setting, if frequency set value (Analog setting via voltage, current,
RS485 communication, or digital setting via keypad) is within the range of Skip frequency, it maintains
Skip frequency high limit value. If the set value is outside the range, it decreases the frequency following
the set deceleration ramp.
Run
command
Freq.
H11
H12
H13
H14
H15
H16
V1(Voltage input)
0
20mA
10V
I (Current input)
Freq. Up setting
Freq. Down
setting

Table of Contents

Other manuals for Santerno Sinus M