EasyManua.ls Logo

WEST P4100 - Self-Tune; Serial Communications Option; Setpoint

Default Icon
159 pages
Print Icon
To Next Page IconTo Next Page
To Next Page IconTo Next Page
To Previous Page IconTo Previous Page
To Previous Page IconTo Previous Page
Loading...
1
/
4
-DIN,
1
/
8
-DIN &
1
/
16
- DIN Controllers & Indicators - Product Manual
59305, Issue 5 – March 2005 Glossary Page 125
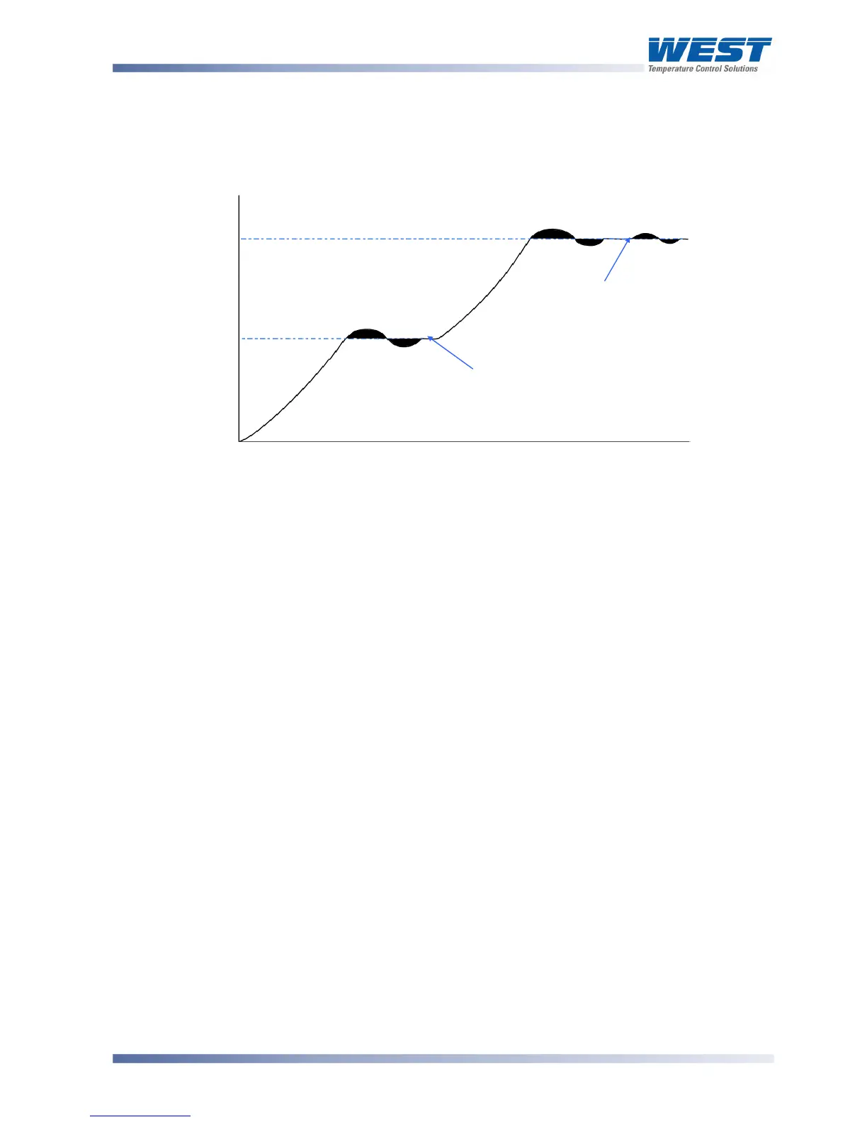
Self-Tune Type: Controller Tuning Definition
Continuously optimises tuning while a controller is operating. It uses a pattern recognition
algorithm, which monitors the process error (deviation signal). The diagram shows a typical
temperature application involving a process start up, setpoint change and load disturbance.
Figure 45. Self-Tune Operation
The deviation signal is shown shaded and overshoots have been exaggerated for clarity.
The Self-Tune algorithm observes one complete deviation oscillation before calculating a set
of PID values. Successive deviation oscillation causes values to be recalculated so that the
controller rapidly converges on optimal control. When the controller is switched off, the final
PID terms remain stored in the controller's non-volatile memory, and are used as starting
values at the next switch on. The stored values may not always be valid, if for instance the
controller is brand new or the application has been changed. In these cases the user can
utilise Pre-Tune to establish new initial values.
Use of continuous self-tuning is not always appropriate for applications which are frequently
subjected to artificial load disturbances, for example where an oven door is likely to be
frequently left open for extended periods of time. Self-Tune cannot be engaged if a controller
is set for On-Off Control.
Also refer to On-Off Control, Pre-Tune, PID, and Tuning.
Serial Communications Option Type: General Definition
An feature that allows other devices such as PC’s, PLC’s or a master controller to read or
change an instruments parameters via an RS485 Serial link. Full details can be found in the
Serial Communications sections of this manual.
Also refer to Controller, Indicator, Master & Slave, Limit Controller and PLC
Setpoint Type: Controller Definition
The target value at which a controller will attempt to maintain the process variable by
adjusting its power output level. Controllers can have either one or two setpoints. These can
be one or two local internal setpoints (:- or :-2 and :-3), or one local internal setpoint
(+:-) and one externally adjusted remote (0:-) setpoint, if a Remote Setpoint module is
fitted. The value of the setpoints can be adjusted between the Setpoint Upper Limit and
Setpoint Lower Limits. The active setpoint is defined by the status of the Setpoint Select
parameter or a digital input.
Also refer to Limit Setpoint, Process Variable, Remote Setpoint, Scale Range Lower Limit,
Setpoint Lower Limit, Setpoint Upper Limit and Setpoint Select
Temperature
Setpoint 2
Setpoint 1
Setpoint Change
Load Disturbance
Time

Table of Contents

Related product manuals