EasyManua.ls Logo

ABB FSO-21 - Safe Direction (SDI); SDI with Correct Rotation Direction

ABB FSO-21
540 pages
Print Icon
To Next Page IconTo Next Page
To Next Page IconTo Next Page
To Previous Page IconTo Previous Page
To Previous Page IconTo Previous Page
Loading...
186 Safety functions
Safe direction (SDI)
This safety function requires that you use an encoder in the safety application.
The SDI function monitors that the motor rotates into the correct direction. There are
separate functions to monitor the positive and negative directions. You can activate
them separately.
The SDI functions can be configured to be always on or off, or to be activated
externally from the FSO module I/O or from a safety PLC.
When the SDI function is active, the drive limits the speed reference so that the user
cannot set it to the forbidden direction. If the motor rotates into the forbidden direction
more than the user-defined SDI tolerance limit allows, the FSO module activates the
SSE function and the motor stops.
If the motor does not rotate in the correct direction when the SDI function is activated,
the motor speed is first decelerated to zero speed. You can configure the SDI function
to use either the time monitoring or ramp monitoring method when the motor speed is
decelerated. After the user has given a new speed reference, the motor starts to
rotate to the correct direction.
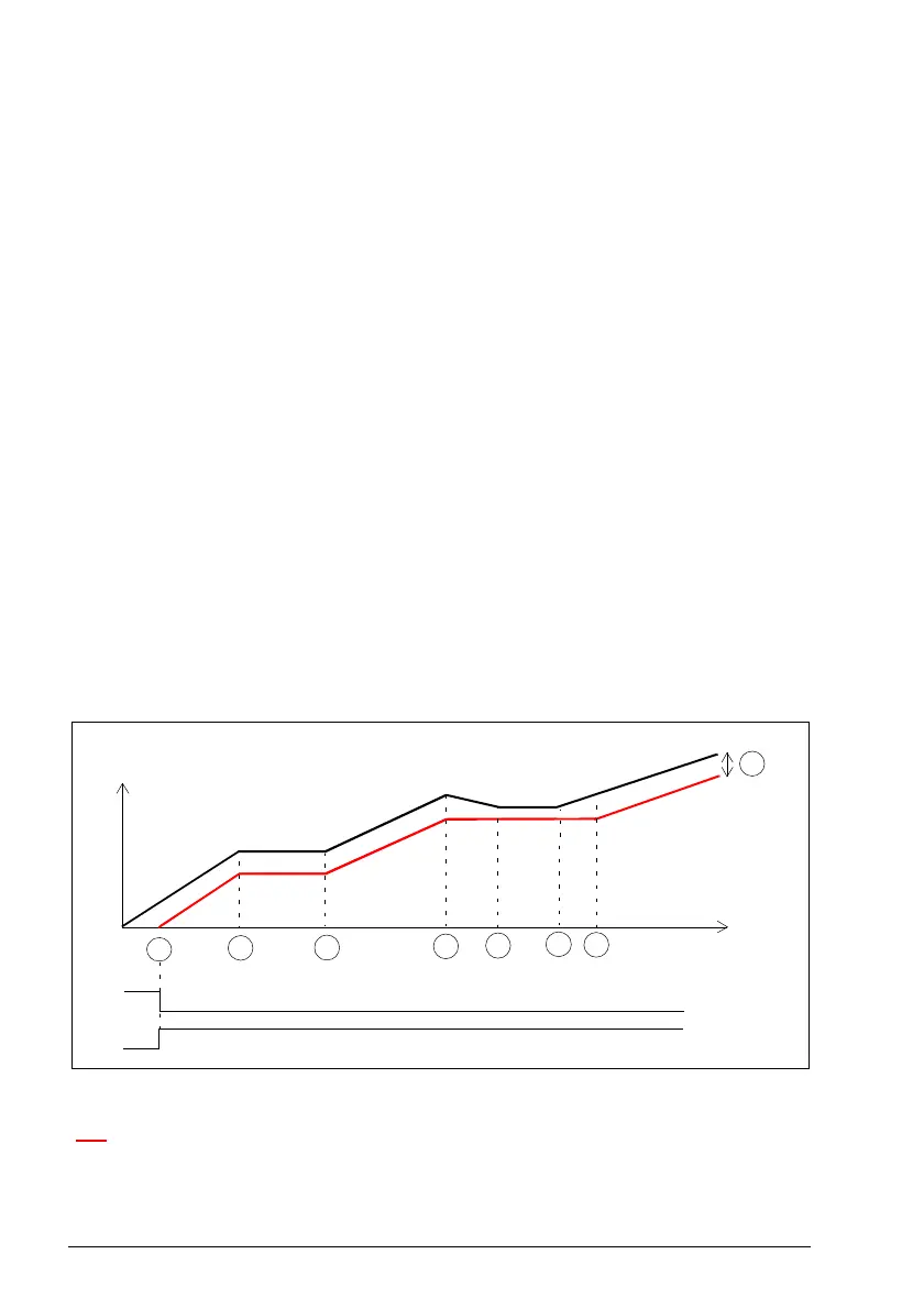
SDI with correct rotation direction
This applies when the motor rotates into the correct direction when the SDI function is
activated. The SDI positive function is used as an example.
Note: This diagram shows the position of the motor shaft (not the motor speed).
A SDI tolerance limit degree (parameter SDI.14): The motor shaft cannot move to the
forbidden direction more than defined with this parameter.
SDI monitoring limit
SDI state &
indication
SDI request
Motor shaft
position
Time
1
2
4
A
3
6
7
5

Table of Contents

Related product manuals