EasyManua.ls Logo

Daikin DPS - Page 138

Daikin DPS
160 pages
Print Icon
To Next Page IconTo Next Page
To Next Page IconTo Next Page
To Previous Page IconTo Previous Page
To Previous Page IconTo Previous Page
Loading...
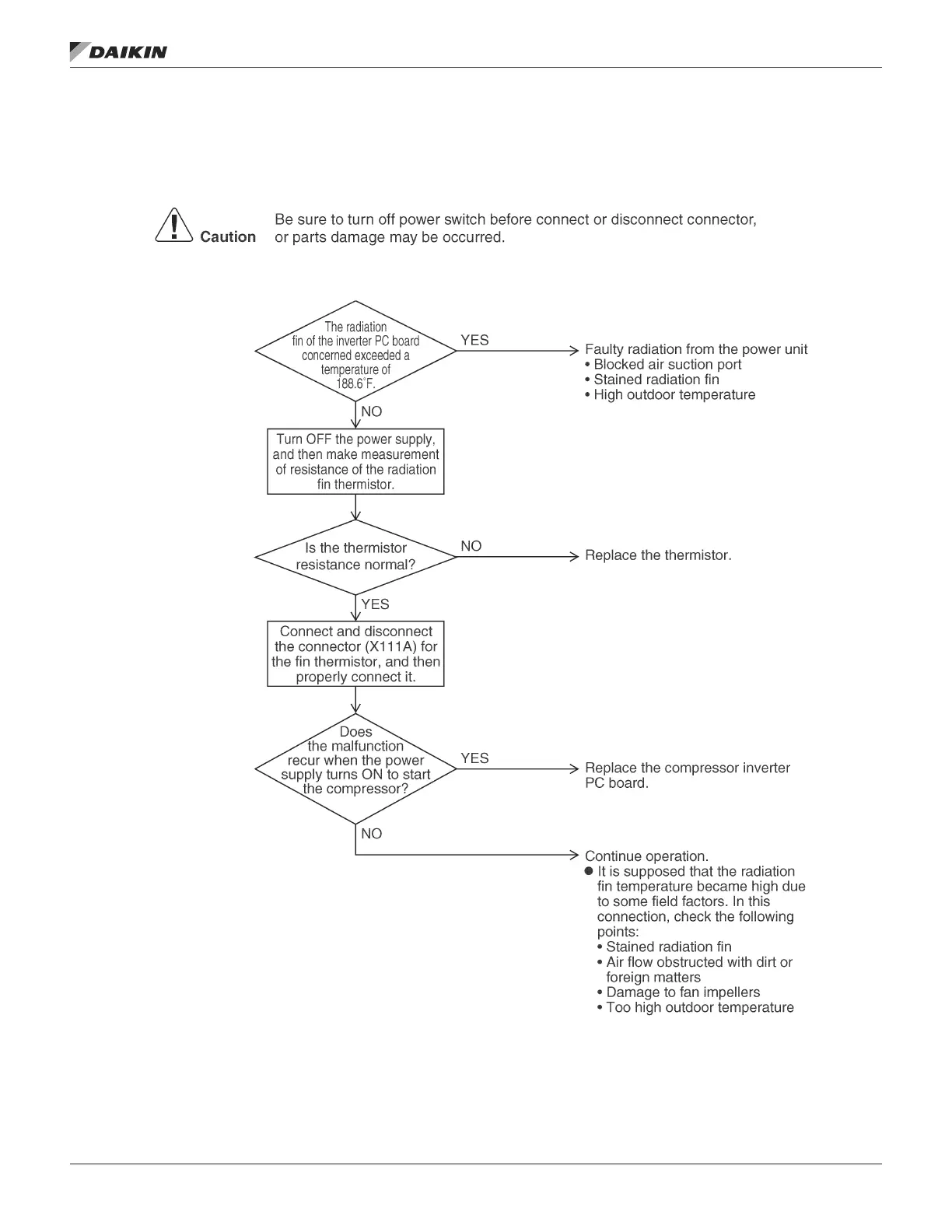
Figure 30: L4 – Malfunction of Inverter Radiating Fin Temperature Rise
OM 1141-3 • MICROTECH UNIT CONTROLLER 138 www.DaikinApplied.com
trouBleshootIng

Table of Contents

Other manuals for Daikin DPS

Related product manuals