EasyManua.ls Logo

Daikin DPS - Heat;Cool Changeover

Daikin DPS
160 pages
Print Icon
To Next Page IconTo Next Page
To Next Page IconTo Next Page
To Previous Page IconTo Previous Page
To Previous Page IconTo Previous Page
Loading...
Optimal Start
When Optimal Start is active (Optimal Start= Yes), an early
start time is determined before each scheduled start. The
schedule must be based on an internal schedule or a signal
via a connected network that indicates time to occupancy. The
controller uses start history, outdoor air temperature and space
temperature to determine when the unit should start. The unit
may start up to four hours before the scheduled occupancy
time. Optimal start based on heating operates when the
space temperature is below the Occupied Heating Spt by ½
the Occupied Htg Deadband. Optimal start based on cooling
operates when the space temperature is above the Occupied
Cooling Spt by ½ the Occupied Clg Deadband. If space
temperature is between the above two points, the unit starts at
the occupancy time.
External Time Scheduling
An external time clock can be used to schedule unit operation.
This is accomplished by a eld supplied external time clock
signal in the form of a set of dry contacts wired across
terminals 101 and 102 on the unit eld terminal block TB2. In
this case, all internal daily schedules should be set to “HH:MM-
HH:MM” (default setting).
Temperature Control Congurations
Temperature control is based on a Control Type that may be
set to either Zone, DAT or (single zone VAV).
When the Control Type is set to Zone temperature control,
heating, compressors, and the economizer are controlled to
maintain the temperature of the zone at a desired set point.
This conguration is used on units equipped with constant
volume supply fans. Compressors and heating stages are
controlled to maintain space or return temperature. The
compressor capacity is decreased when it is too cold and
increased when it is too hot. The heating capacity is decreased
when it is too hot and increased when it is too cold.
When the Control Type is set to DAT, heating, compressors,
and the economizer are controlled to maintain the discharge
air temperature at a desired set point. This conguration is
typically used on units equipped with variable air volume
supply fans.
When the Control Type is set to (single zone VAV), heating,
compressors and the economizer are controlled to maintain
the discharge air temperature at the desired set point while
the variable volume supply fan is modulated to maintain the
temperature of the zone at the desired heating and cooling set
points. In heating mode the supply fan capacity is increased
as the zone temperature falls and decreased as the zone
temperature rises.
Heat/Cool Changeover
(See page 82 for State Diagram owchart)
In general, a unit congured for discharge air temperature
control either operates to deliver the cooling discharge
temperature set point using economizer and/or mechanical
cooling or the heating discharge air temperature set point using
the heating equipment. Cooling and heating never operate
simultaneously. A unit congured for zone (or space comfort)
control either operates to maintain the Occupied Cooling Set
Point using economizer and/or mechanical cooling or the
Occupied Heating Set Point using the heating equipment. The
Occupied Cooling/Occupied Heating Set Points can be set
via the keypad/display or based on a signal from an optional
space temperature sensor with set point adjustment capability.
The following sections describe the unit heat/ cool changeover
function.
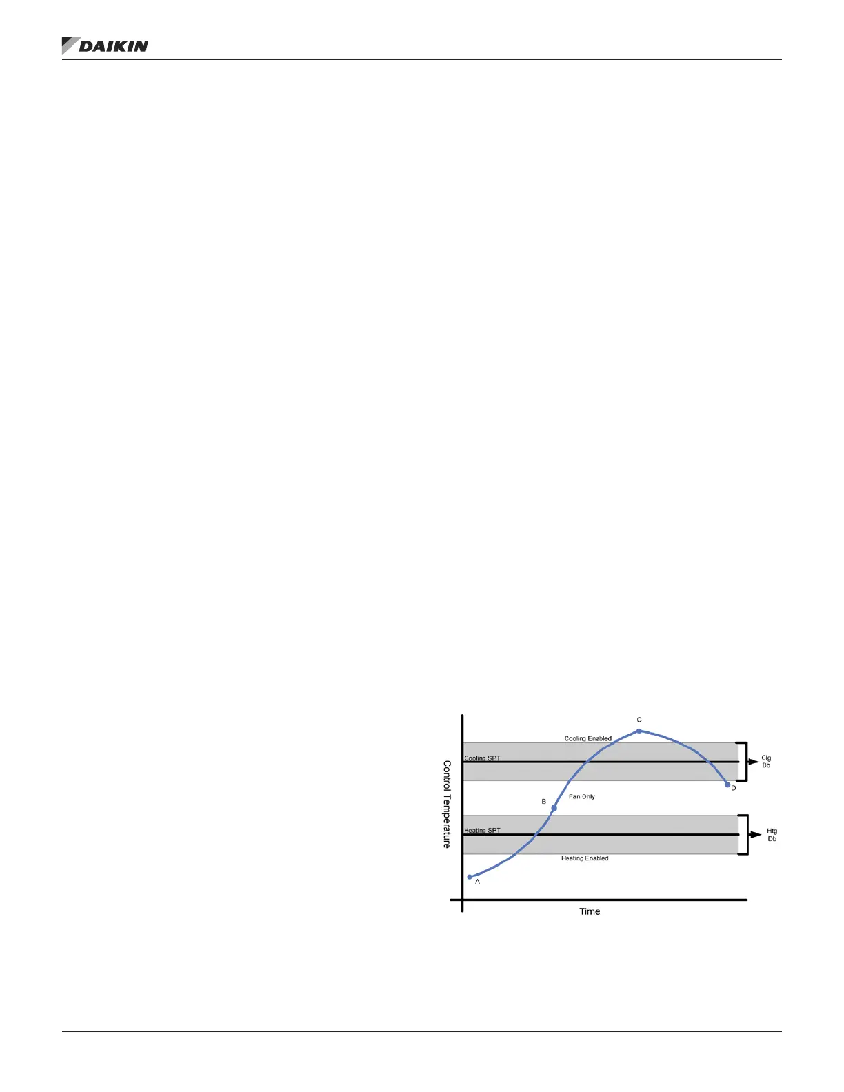
Illustrative Heat/Cool Changeover
Sequence
The following is an illustration of the heat/cool changeover
function.
When the control temperature is below the Occupied heating
set point by more than ½ the deadband (point A), heating
operation is enabled. Heating operation then remains enabled
until the control temperature begins to rise and rises above
the Occupied heating set point by more than ½ the deadband
(point B), at which point heating operation is disabled and the
unit enters the fan only (or Min DAT) operating state. If the
control temperature rises above the Occupied cooling set point
by more than ½ the deadband (point C) cooling operation is
enabled. Cooling operation remains enabled until the control
temperature begins to fall below the Occupied cooling set point
by more than ½ the deadband (point D), at which point the unit
returns or fan only (or Min DAT) operating state.
Figure 16: Heat/Cool Changeover
operators guIde
www.DaikinApplied.com 97 OM 1141-3 • MICROTECH UNIT CONTROLLER

Table of Contents

Other manuals for Daikin DPS

Related product manuals