Home
FLYGT
Water Pump
C3501
Page 122
FLYGT C3501 - Page 122
172 pages
Manual
Save Page as PDF
To Next Page
To Next Page
To Previous Page
To Previous Page
Loading...
WS000598A
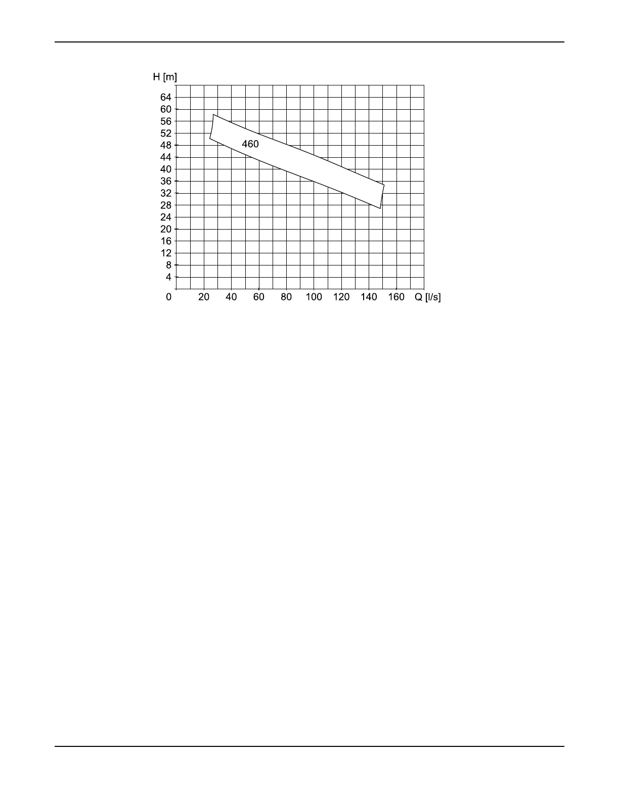
Figure 53: C3300, 50 Hz, low voltage (2 of 2)
C3300 Motor rating and performance, 50 Hz
1
18
C3300/6x5, C/R3231, C3240, C3306, C3312, C3351, C3356, C3400, C3501, C3531, C3602, C3800 Installation,
Operation and Maintenance Manual
121
123
Table of Contents
Main Page
Default Chapter
5
Table of Contents
5
Introduction and Safety
9
Introduction
9
Inspect the Delivery
9
Product Warranty
9
Safety
10
Safety Message Levels
10
User Safety
11
Ex-Approved Products
12
Environmental Safety
13
Transportation and Storage
14
Transportation Guidelines
14
Precautions
14
Position and Fastening
14
Horizontal Position
14
Vertical Position
14
Lifting
15
Lift Pump from Vertical Position and Remove Transport Pallet
17
Lift Pump from Horizontal Position and Remove Transport Pallet
18
Install the Guide Claw (3800 Only)
21
Storage Guidelines
22
Storage Location
22
Freezing Precautions
22
Long-Term Storage
23
Reinstall the Locking Device
23
Product Description
24
Pump Design
24
Intended Use
24
Approvals
24
Spare Parts
25
Drive Units
25
The Monitoring Equipment
28
Monitoring Alternatives: MAS and CAS Overviews
30
Sensors
31
Stator Temperature Monitoring Methods
35
Pt100 Resistance
36
Pump Memory
37
The Cooling System
37
Direct Cooling
37
Integrated Cooling
37
External Cooling
39
Fittings Needed to Drain Cooling Jacket
42
Seal Flushing
44
Applications for Seal Flushing
45
Circuit Diagram for Seal Flushing
45
Connections for Seal Flushing
47
The Data Plates
47
Installation
49
Install the Pump
49
Fasteners
49
The Locking Device
49
Install with P-Installation
50
Install with S-Installation
51
Install with T/Z-Installation
52
Make the Electrical Connections
53
General Precautions
53
Requirements
53
Cables
53
Earthing (Grounding)
54
Connect the Cables
54
Power Cable Phase Sequence
55
MAS Sensor Connections
57
CAS or MAS 711 + MRM-01 Sensor Connections
59
Cable Charts
62
Prepare the Medium-Voltage Cable
70
Connect the Coolant
76
Connect the Integrated Cooling System
76
Connect the External Cooling System
76
Connect the Seal Flushing
81
Check the Impeller Rotation
81
Operation
83
Precautions
83
Noise Level
83
Start the Pump
83
Modifications for Freezing Conditions
84
Maintenance
85
Precautions
85
Service
85
Inspection
86
Major Overhaul
87
Check the Junction Box Insulation, up to 1.1 Kv Drives
88
Check the Junction Box Insulation, 1.2-6.6 Kv Drives
88
Check the Temperature Sensors
88
Check the Leakage Sensors
89
Empty the Coolant (Integrated Cooling)
89
Empty the Coolant (External Cooling)
90
Oil Change
91
Empty the Oil
92
Fill with Oil
92
Horizontal Lifting
93
Replace the Wear Parts
94
Replace the Pump Housing Wear Ring
94
Replace the Impeller Wear Ring
95
Replace the Impeller
96
Remove the Impeller
96
Remove the Locking Assembly
98
Install the Impeller
101
Install the Locking Assembly
101
Sequence for Tightening or Loosening Locking Assembly Bolts
103
Torque Values
105
Tools
106
Technical Reference
109
Product Overview
109
Materials
109
Mounting-Related Data
111
Drive Units
112
Operational Data
114
Application Limits
114
Motor Data
115
Monitoring with MAS
115
C3231 Motor Rating and Performance, 50 Hz
117
Low Voltage
117
C3240 Motor Rating and Performance, 50 Hz
119
Low Voltage
119
Medium Voltage
120
C3300 Motor Rating and Performance, 50 Hz
121
Low Voltage
121
C3306 Motor Rating and Performance, 50 Hz
123
Low Voltage
123
C3312 Motor Rating and Performance, 50 Hz
124
Low Voltage
124
Medium Voltage
125
C3351 Motor Rating and Performance, 50 Hz
126
Low Voltage
126
Medium Voltage
127
C3356 Motor Rating and Performance, 50 Hz
128
Low Voltage
128
C3400 Motor Rating and Performance, 50 Hz
129
Low Voltage
129
Medium Voltage
130
C3501 Motor Rating and Performance, 50 Hz
131
Low Voltage
131
Medium Voltage
132
C3531 Motor Rating and Performance, 50 Hz
133
Low Voltage
133
Medium Voltage
135
C3602 Motor Rating and Performance, 50 Hz
138
Low Voltage
138
Medium Voltage
139
C3800 Motor Rating and Performance, 50 Hz
141
Low Voltage
141
Medium Voltage
142
C3231 Motor Rating and Performance, 60 Hz
143
Low Voltage
143
C3240 Motor Rating and Performance, 60 Hz
144
Low Voltage
144
Medium Voltage
145
C3300 Motor Rating and Performance, 60 Hz
146
Low Voltage
146
C3306 Motor Rating and Performance, 60 Hz
148
Low Voltage
148
C3312 Motor Rating and Performance, 60 Hz
149
Low Voltage
149
Medium Voltage
150
C3351 Motor Rating and Performance, 60 Hz
151
Low Voltage
151
Medium Voltage
152
C3356 Motor Rating and Performance, 60 Hz
153
Low Voltage
153
C3400 Motor Rating and Performance, 60 Hz
154
Low Voltage
154
Medium Voltage
155
C3501 Motor Rating and Performance, 60 Hz
157
Low Voltage
157
Medium Voltage
158
C3531 Motor Rating and Performance, 60 Hz
160
Low Voltage
160
Medium Voltage
162
C3602 Motor Rating and Performance, 60 Hz
164
Low Voltage
164
Medium Voltage
165
C3800 Motor Rating and Performance, 60 Hz
167
Low Voltage
167
Medium Voltage
168
Related product manuals
FLYGT C3312
172 pages
FLYGT C3356
172 pages
FLYGT C3400
172 pages
FLYGT C3800
172 pages
FLYGT C3300/6x5
172 pages
FLYGT C/R3231
172 pages
FLYGT 3153
72 pages
FLYGT 3085
72 pages
FLYGT 4650
32 pages
FLYGT 2125
66 pages
FLYGT 4670.410
32 pages
FLYGT 4660.490
32 pages