EasyManua.ls Logo

Omron CP - PROGRAMMING MANUAL 05-2007 - Page 497

Omron CP - PROGRAMMING MANUAL 05-2007
1175 pages
Print Icon
To Next Page IconTo Next Page
To Next Page IconTo Next Page
To Previous Page IconTo Previous Page
To Previous Page IconTo Previous Page
Loading...
464
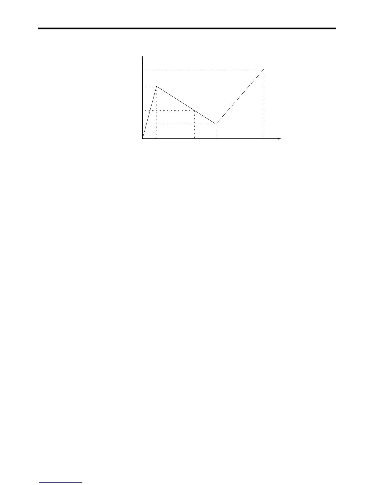
Special Math Instructions Section 3-13
In this case, the source word, CIO 1000, contains 0014, and f(0014) = 0726 is
output to R, CIO 1001.
The linear-extrapolation calculation is shown below.
X
Y
$1F20
$0F00
$0726
$0402
(0,0)
$0005 $0014 $001A $05F0
(x,y)
Values are all hexadecimal (hex).
Y0F00
0402 0F00
001A 0005
---------------------------------
0014 0015()×+=
0726=
0F00 0086 000F
)×(=

Table of Contents

Related product manuals