EasyManua.ls Logo

Owandy I-Max Touch - Page 27

Owandy I-Max Touch
130 pages
Print Icon
To Next Page IconTo Next Page
To Next Page IconTo Next Page
To Previous Page IconTo Previous Page
To Previous Page IconTo Previous Page
Loading...
USER'S MANUAL
Technical characteristics
I-Max Touch (110-120V) (Rev. 0)
22
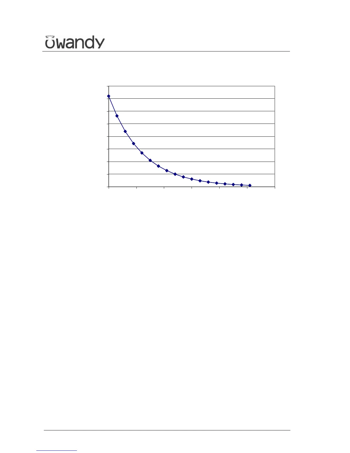
Tube-head heating and cooling curve
0
50
100
150
200
250
300
350
400
0 100 200 300 400 500 600
min
E[kJ]

Table of Contents

Related product manuals