EasyManua.ls Logo

ABB ACS880-104

ABB ACS880-104
664 pages
To Next Page IconTo Next Page
To Next Page IconTo Next Page
To Previous Page IconTo Previous Page
To Previous Page IconTo Previous Page
Loading...
50 ESP program features
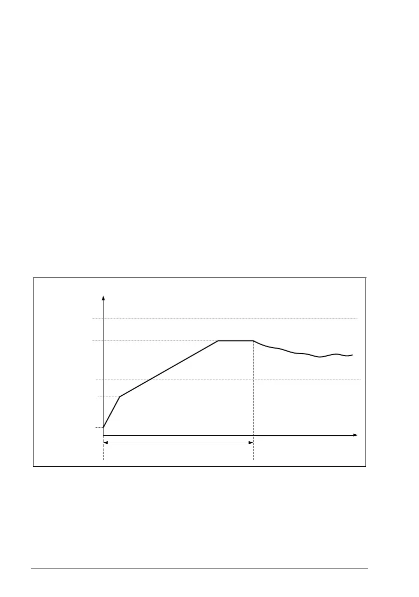
Automatic process control mode
The pump can be started immediately in Automatic process control mode. However,
due to a relatively slow nature of the artificial lift process, it usually takes some time
before process variable feedback is ready for the closed loop control. To handle this,
you can specify time delay before automatic control is engaged.
The speed reference is controlled automatically based on selected process variable.
For example, pressure, fluid level, flow, motor current.
You can pre-configure two different process control settings in the drive.
1. Each process control parameter set contains:
Set point
Transition dynamics
Feedback signals selection
PI controller settings
2. It is possible to switch between process 1, process 2 or manual mode at any time.
In the figure below, the drive starts in manual mode following the user defined pump
speed reference. As delay time elapses, the automatic process control takes over.
Even if auto mode start delay is not in use, the actual automatic procedure is
activated only after the minimum production speed is reached.
Speed reference
75.19 Maximum
production speed
Time
Speed reference
controlled
by PI controller
75.11 Pump
speed ref source
75.18 Minimum
production speed
75.23 Ramp
switch speed
75.15 Starting
speed
76.11 Auto mode start delay

Table of Contents

Other manuals for ABB ACS880-104

Related product manuals