EasyManua.ls Logo

Abbott AEROSET - Abbott Assay-Basic Assay Troubleshooting

Abbott AEROSET
264 pages
Print Icon
To Next Page IconTo Next Page
To Next Page IconTo Next Page
To Previous Page IconTo Previous Page
To Previous Page IconTo Previous Page
Loading...
PROPRIETARY INFORMATION
CONFIDENTIAL MATERIAL
Not for Customer Distribution Flowcharts
AEROSET
®
System Troubleshooting Guide 247
94816-107—November 2004
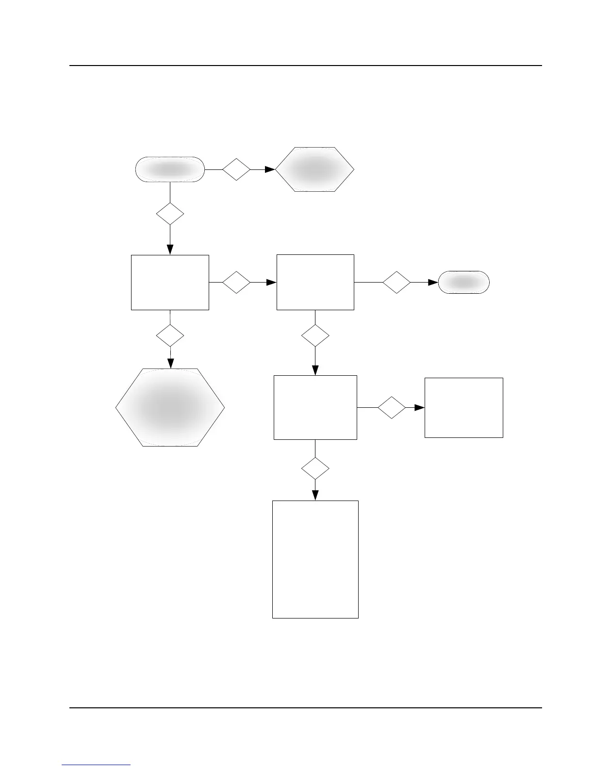
Abbott Assay—Basic Assay Troubleshooting
Customer
perceive assay
is performing
as expected?
Can
performance
change be traced
to a certain
event or date?
Yes
Text for assay
on ASSAYS
screen green?
Yes Stop
Investigate the
following
bullet points
(next page)
Troubleshoot
event, or
investigate
implementation
of different lots/
shipments of
reagent or
calibrator for
date in question
Yes
No
NoNo
Yes
No
Proceed to
QC OOR
Flowchart
QC OOR?
Proceed to
Illegal
Configuration or
Calibration
Errors
Flowchart

Table of Contents

Related product manuals