EasyManua.ls Logo

Abbott AEROSET - QC out of Range

Abbott AEROSET
264 pages
Print Icon
To Next Page IconTo Next Page
To Next Page IconTo Next Page
To Previous Page IconTo Previous Page
To Previous Page IconTo Previous Page
Loading...
PROPRIETARY INFORMATION
CONFIDENTIAL MATERIAL
Flowcharts Not for Customer Distribution
254
AEROSET
®
System Troubleshooting Guide
94816-107—November 2004
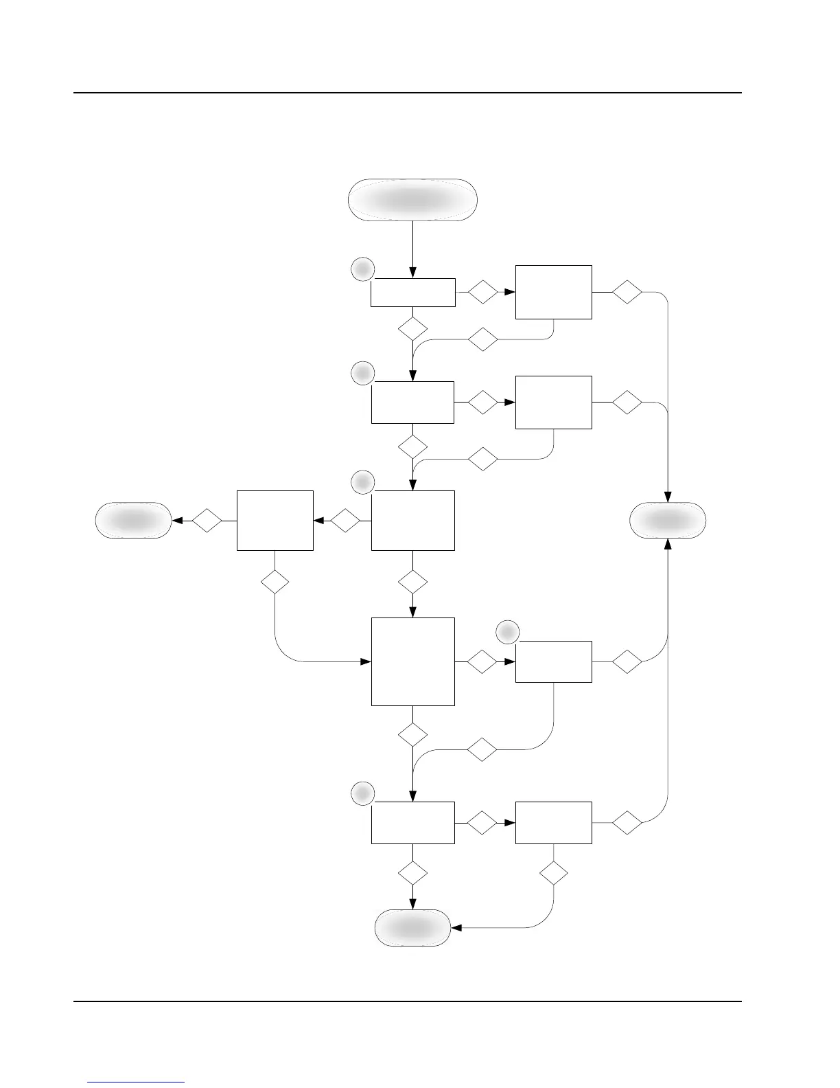
QC Out of Range
Multiple assays?
Verify
calibration.
Check cal
values, cal
prep, &
expiration. OK?
Verify system.
OK?
Yes
Observed Problem:
QC Out of Range
Recalibrate/
reblank.
Rerun QC.
OK?
Yes
QC prep
handling OK?
Yes
Yes
Correct errors.
OK?
Prepare fresh
reagent.
Rerun QC.
OK?
No
Accept data
Yes
No
Verify proper
reagent
handling. OK?
Yes
Service
No
No
Prepare fresh
controls &
rerun QC.
OK?
No
Yes
Recalibrate &
rerun QC.
OK?
Yes
No
1.
2.
3.
4.
5.
No
No
No
No
Accept data
Yes
Yes

Table of Contents

Related product manuals