EasyManua.ls Logo

ALLIANCE SCL020WT - No Extract

ALLIANCE SCL020WT
157 pages
Print Icon
To Next Page IconTo Next Page
To Next Page IconTo Next Page
To Previous Page IconTo Previous Page
To Previous Page IconTo Previous Page
Loading...
No Extract
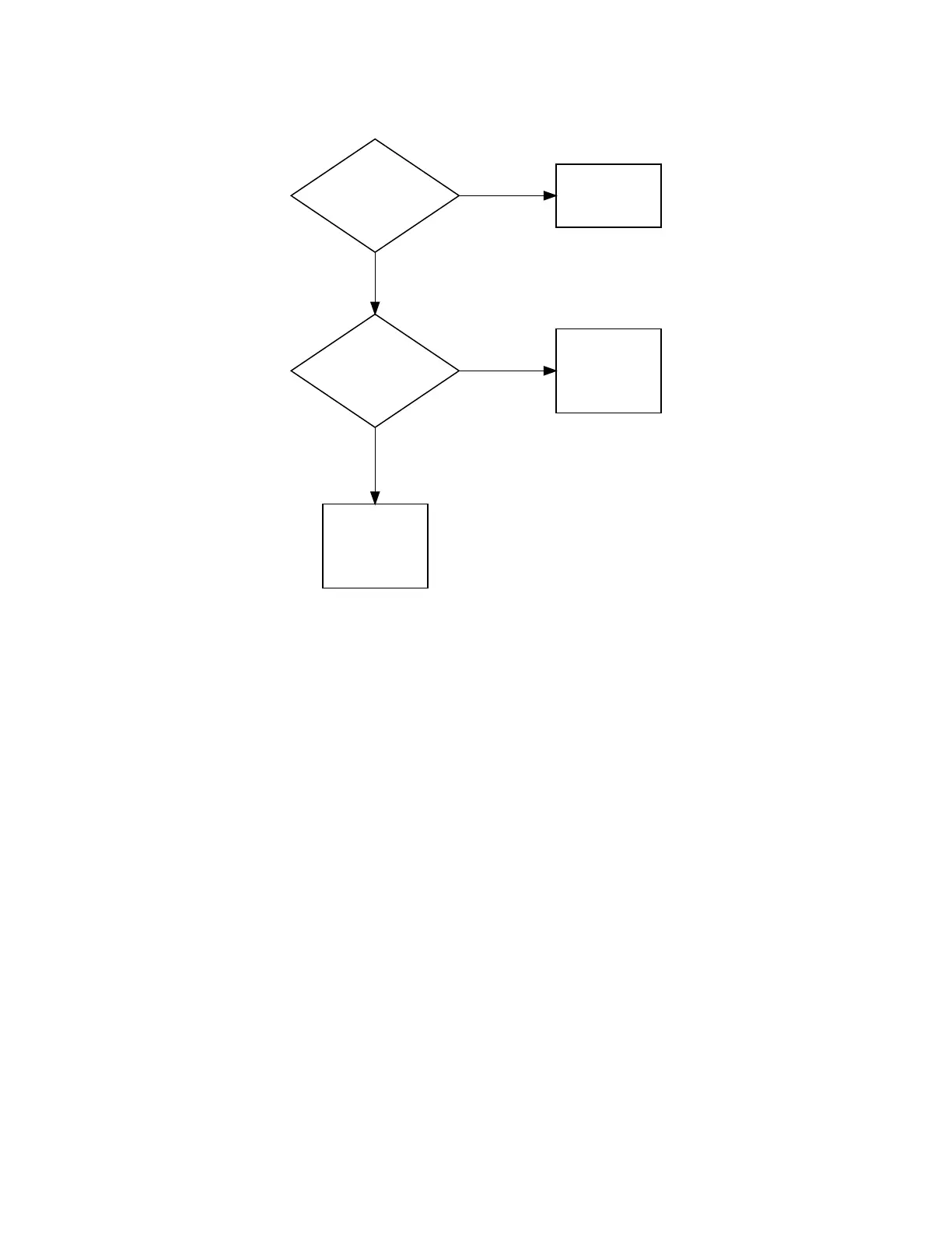
Is there an extract
step programmed?
Is there a drain step
programmed before the
extract step?
Yes
Add/edit extract step
in programming.
No
Check for drive error
on machine display.
Refer to the
troubleshooting
section matching the
drive error. Run
drive test. Refer to
Programming Manual.
Yes
Add/edit drain step
in programming. There
must be a drain step
programmed in order
to program an extract
step.
No
Troubleshooting
©
Copyright, Alliance Laundry Systems LLC -
DO NOT COPY or TRANSMIT
107 Part No. F8677701EN

Table of Contents

Related product manuals