EasyManua.ls Logo

ALLIANCE SCL020WT - No External Supplies (4 out Control Using Supplied 24 VAC) - N, P, Q, W, X and y Voltage (2 of 2)

ALLIANCE SCL020WT
157 pages
Print Icon
To Next Page IconTo Next Page
To Next Page IconTo Next Page
To Previous Page IconTo Previous Page
To Previous Page IconTo Previous Page
Loading...
No External Supplies (4 Out Control Using Supplied 24VAC) - N, P, Q, W, X and Y
Voltage (2 of 2)
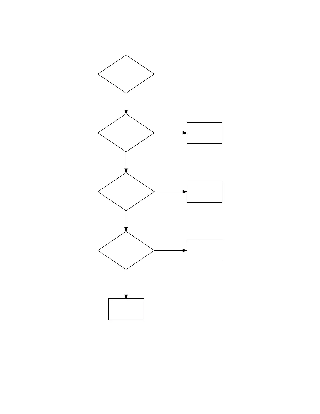
Continued from 1 of 2.
(K)
Supply 2: Is there
12VDC between H2-9
and H2-2?
(K)
Supply 3: Is there
12VDC between H2-9
and H2-3?
Yes
Replace AP4a.
No
(K)
Supply 4: Is there
12VDC between H2-9
and H2-4?
Yes
Replace AP4a.
No
(L)
Check the soap vendor
equipment or contact
your soap vendor.
Yes
Replace AP4a.
No
Troubleshooting
©
Copyright, Alliance Laundry Systems LLC -
DO NOT COPY or TRANSMIT
94 Part No. F8677701EN

Table of Contents

Related product manuals