EasyManua.ls Logo

Desoutter CVIC - Page 55

Desoutter CVIC
60 pages
Print Icon
To Next Page IconTo Next Page
To Next Page IconTo Next Page
To Previous Page IconTo Previous Page
To Previous Page IconTo Previous Page
Loading...
6159932010-09
55 / 60
English
CVIC-MODCVIC-MULTICVIC
Torque + angle controlled untightening
In addition to monitoring the untightening of the fastener, the system monitors the number of degrees reached while
maintaining a residual torque in the fastener.
The control phase starts IF torque > breakaway torque
The recorded values are the following: final torque and final angle
Spindle stop
IF torque target torque OR torque > safety torque
OR angle > max. angle
Accept report
IF torque < safety torque
AND min. torque final torque max. torque
AND min. angle final angle max. angle
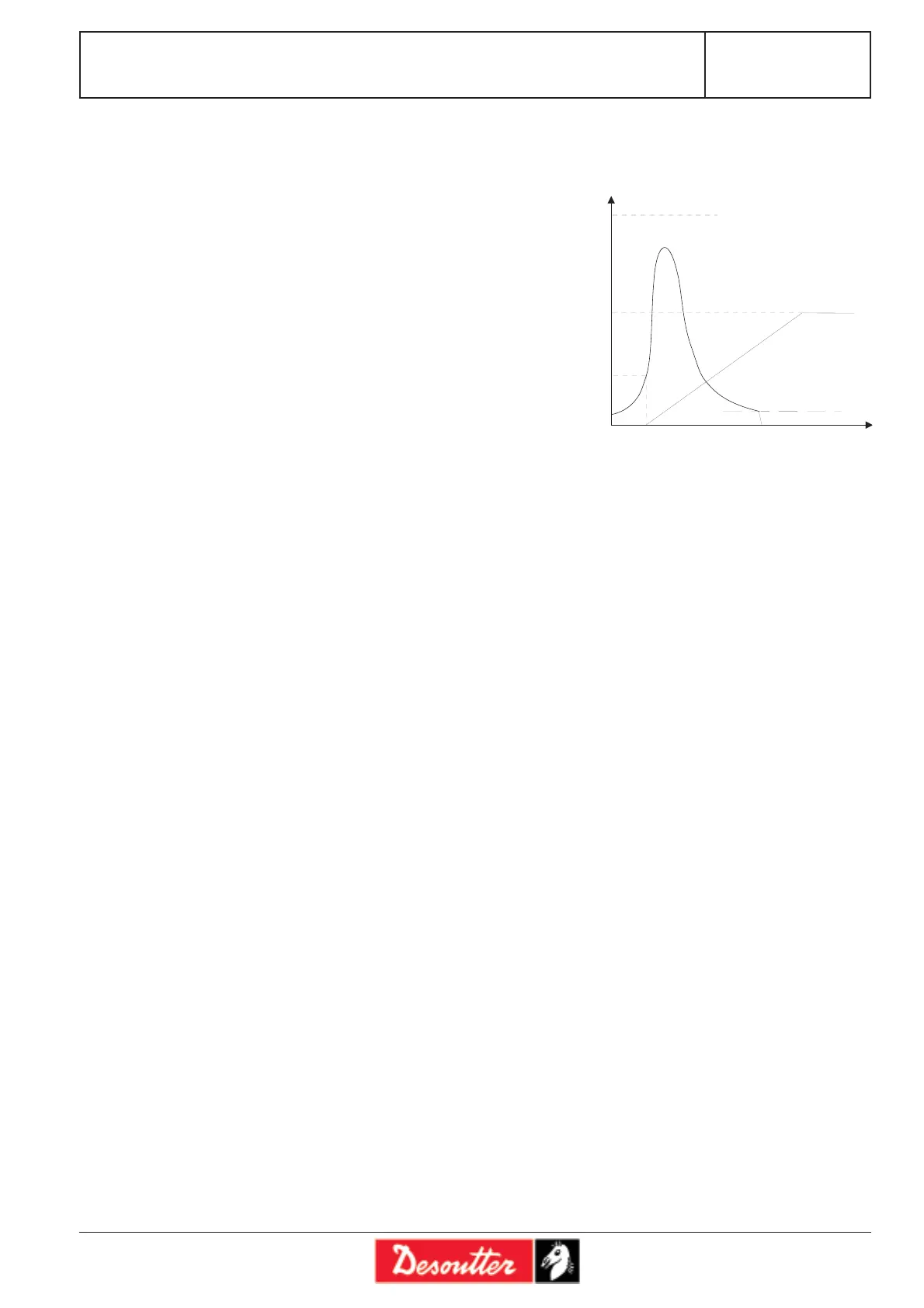
Angle + torque controlled untightening
The recorded values are the following: final torque and final angle
Spindle stop IF angle target angle OR torque > safety torque
Accept report IF torque < safety torque
AND min. torque final torque max. torque
AND min. angle final angle max. angle
T i m e
T o r q u e
T a r g e t a n g l e
A n g l e
t h r e s h o l d
S a f e t y t o r q u e
F i n a l a n g l e
F i n a l t o r q u e

Table of Contents

Related product manuals