EasyManua.ls Logo

Digilite Pulse MX - Cue List Management; Qlist Mode Timing

Digilite Pulse MX
76 pages
Print Icon
To Next Page IconTo Next Page
To Next Page IconTo Next Page
To Previous Page IconTo Previous Page
To Previous Page IconTo Previous Page
Loading...
33
PULSE MX
- 3 - CUE LIST
A cue list (or qlist) is an organised group of cues. Each cue contains information on the status of one or
more parameters belonging to one or more xtures and the information relating to its trend in time.
Each cue list can be congured according to four dierent modes: Qlist, Chase, Sequence or Live. De-
pending on the mode, the way in which the cues are triggered and the calculation of their timing chang-
es.
3.1 QLIST MODE
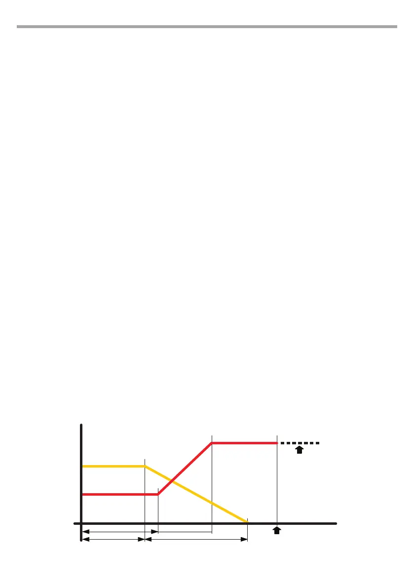
The evolution of a cue in time is determined by the trigger and evolves according to the times inserted.
Delay, Fade-in, Wait e Fade-out. Cues are triggered either by pressing the playback key which controls it
or due to a predened event on one of the input ports.
• Delay: time between the trigger and actual activation of the cue
• Fade-in: fade in time of the cue
• Wait: time between the trigger and fade out
• Fade-out: fade out time
IMPORTANT: Delay+Fade-in and Wait+Faid+out times dene two time lines and are not in sequence
Time evolution of a cue which has received a trigger:
• At the Delay stage, the LTP e HTP attributes set at values other than zero, start to move towards the
nal value will reach it in a time equal to the Fade-in.
• At the Wait stage, the LTP e HTP set at zero or Empty start to move towards zero and will reach it in a
time equal to the Fade-out.
• At the Delay+Fade-in stage, the entrance stage of the cue is completed (all LTP and HTP attributes
with values other than zero and not Empty will have reached the nal value)
• At the Wait+Fade-out stage, all the HTP attributes with values other than zero and not Empty will
have completed the fade-out and will be at zero value.
• Once the fade-in is completed, if the Link next cue button is active, the next cue will automatically
receive a trigger; otherwise, all outputs remain the same until the following trigger arrives.
Wait and Fade-out times are optional; if not inserted, they are considered to be equal to Delay and Fade-
out times.
Fade-in and Fade-out trend in time Fig.27
Value
controlled by
next cue
Next trigger
time
Fade out
Fade in
Delay
Wait
LPT & HTP fade in
HPT fade out