EasyManua.ls Logo

Kontron CP3003-SA - CP3003-SA with I7-3612 QE (SV), 2.1 Ghz

Kontron CP3003-SA
176 pages
Print Icon
To Next Page IconTo Next Page
To Next Page IconTo Next Page
To Previous Page IconTo Previous Page
To Previous Page IconTo Previous Page
Loading...
Thermal Considerations CP3003-SA
Page 6 - 6 ID 1052-6929, Rev. 3.0
D R A F T — F O R I N T E R N A L U S E O N L Y
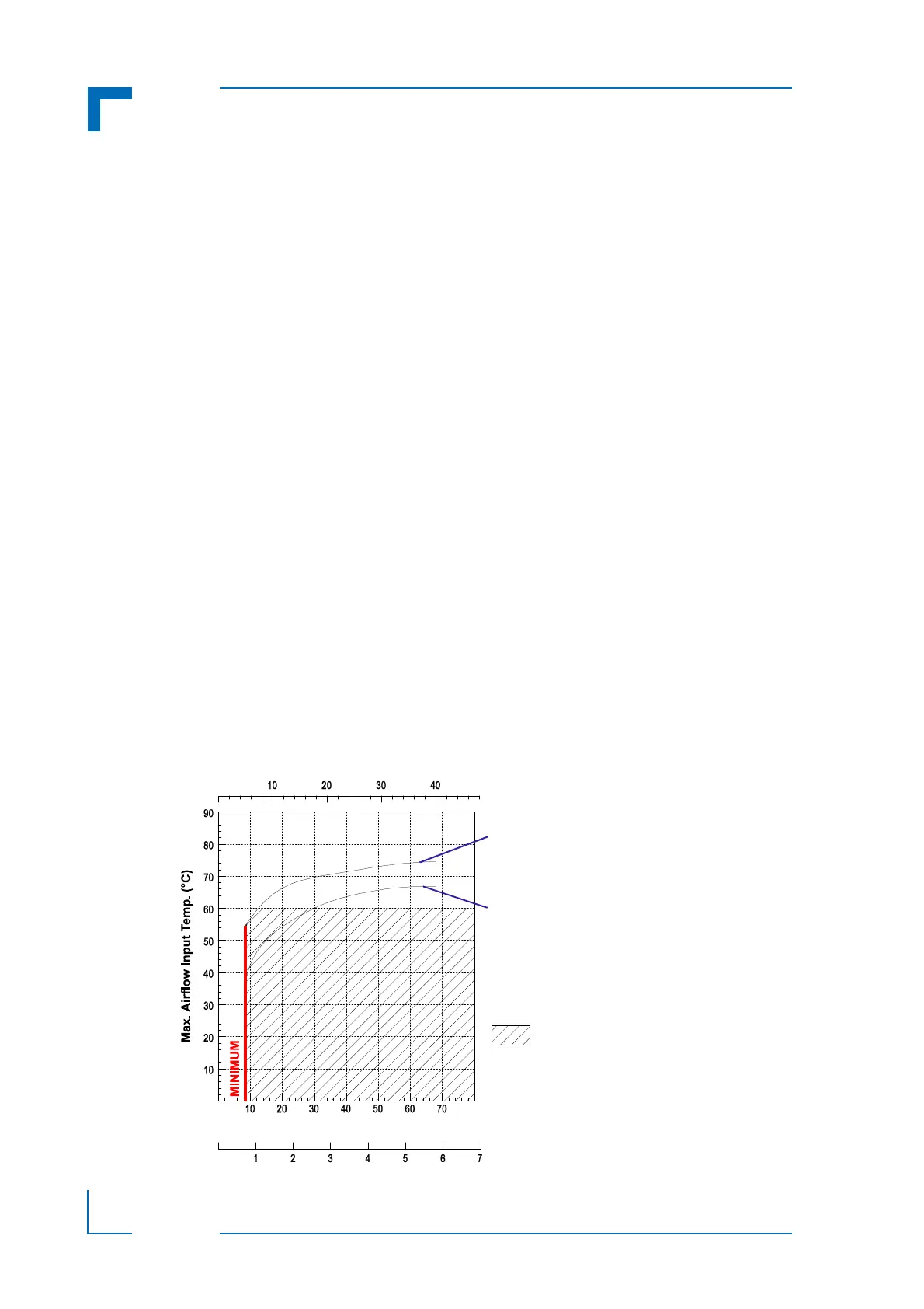
How to read the diagram
Select a specific CPU and choose a specific working point. For a given flow rate there is a max-
imum airflow input temperature (= ambient temperature) provided. Below this operating point,
thermal supervision will not be activated. Above this operating point, thermal supervision will
become active protecting the CPU from thermal destruction. The minimum airflow rate provid-
ed must be more than the value specified in the diagram.
Volumetric flow rate
The volumetric flow rate refers to an airflow through a fixed cross-sectional area (i.e. slot width
x depth. The volumetric flow rate is specified in m³/h (cubic-meter-per-hour) or cfm (cubic-feet-
per-minute) respectively.
Conversion: 1 cfm = 1.7 m³/h; 1 m³/h = 0.59 cfm
Airflow
At a given cross-sectional area and a required flow rate, an average, homogeneous airflow
speed can be calculated using the following formula:
Airflow = Volumetric flow rate / area.
The airflow is specified in m/s (meter-per-second) or in fps (feet-per-second) respectively.
Conversion: 1 fps = 0.3048 m/s; 1 m/s = 3.28 fps
The following figures illustrate the operational limits of the CP3003-SA taking into consideration
power consumption vs. ambient air temperature vs. airflow rate. The measurements were
made based on a 4HP slot and with both processor cores enabled.
6.4.1 Operational Limits for the CP3003-SA
Figure 6-1: CP3003-SA with i7-3612QE (SV), 2.1 GHz
Volumetric Flow Rate (CFM)
Volumetric Flow Rate (m /h)
3
Airflow (m/s)
recommended
operating range
maximum processor workload
and basic graphics operation
maximum processor and
graphics controller workload

Table of Contents

Related product manuals