EasyManua.ls Logo

PRESONUS StudioLive 32 - 11 Graphic EQ

PRESONUS StudioLive 32
157 pages
Print Icon
To Next Page IconTo Next Page
To Next Page IconTo Next Page
To Previous Page IconTo Previous Page
To Previous Page IconTo Previous Page
Loading...
102
11 Graphic EQ
10.1 Solo Controls
StudioLive™ Series III
Owners Manual
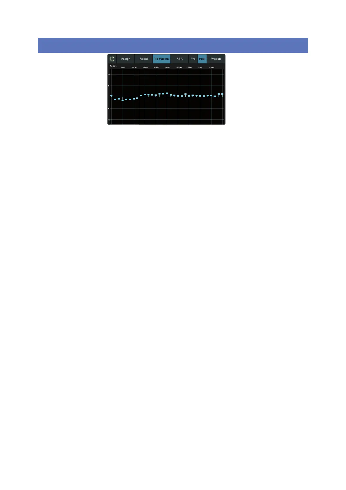
11 Graphic EQ
Your StudioLive comes packed with 31-band graphic EQ processors that can be freely
assigned to the Main mix, or your choice of FlexMixes. These can be used for system
tuning, subtle tweaks, or wherever you find them useful. StudioLive 64S mixers are
equipped with 16 graphic EQs while all other models are equipped with eight.
Graphic EQs are generally used to fine-tune the overall mix for a particular room. For
instance, if you are mixing in a dead” room, you may want to boost high frequencies
and roll off some of the lows. If you are mixing in a “live” room, you might need to
lower the high-midrange and highest frequencies. In general, you should not make
drastic amplitude adjustments to any particular frequency band. Instead, make
smaller, incremental adjustments over a wider spectrum to round out your final
mix. To assist you with these adjustments, here is an overview of the way different
frequency ranges affect sound characteristics:
Sub-Bass (16 Hz to 60 Hz). The lowest of these bass frequencies are felt, rather than
heard, as with freeway rumbling or an earthquake. These frequencies give your mix a
sense of power, even when they only occur occasionally. However, overemphasizing
frequencies in this range will result in a muddy mix.
Bass (60 Hz to 250 Hz). Because this range contains the fundamental notes of the
rhythm section, any EQ changes will affect the balance of your mix, making it fat or
thin. Too much emphasis will make for a boomy mix.
Low Mids (250 Hz to 2 kHz). In general, you will want to emphasize the lower
portion of this range and de-emphasize the upper portion. Boosting the range
from 250 Hz to 500 Hz will accent ambience in the studio and will add clarity to bass
and lower frequency instruments. The range between 500 Hz and 2 kHz can make
midrange instruments (guitar, snare, saxophone, etc.) “honky, and too much boost
between 1 kHz and 2 kHz can make your mix sound thin or “tinny.
High Mids (2 kHz to 4 kHz). The attack portion of percussive and rhythm
instruments occurs in this range. High mids are also responsible for the projection of
midrange instruments.
Presence (4 kHz to 6 kHz). This frequency range is partly responsible for the clarity
of a mix and provides a measure of control over the perception of distance. If you
boost this frequency range, the mix will be perceived as closer to the listener.
Attenuating around 5 kHz will make the mix sound further away but also more
transparent.
Brilliance (6 kHz to 16 kHz). While this range controls the brilliance and clarity of
your mix, boosting it too much can cause some clipping so keep an eye on your main
meter.

Table of Contents

Other manuals for PRESONUS StudioLive 32

Related product manuals