EasyManua.ls Logo

Space PFB035 Series - Page 45

Space PFB035 Series
70 pages
Print Icon
To Next Page IconTo Next Page
To Next Page IconTo Next Page
To Previous Page IconTo Previous Page
To Previous Page IconTo Previous Page
Loading...
User Manual
SPACE s.r.l.
Soc.a socio unico
PFB035 SERIES PFB040 SERIES
PFB045 SERIES PFB060 SERIES
SPRT102/4 SERIES SPRT102/5 SERIES
SPRT102/6 SERIES SPRT102/7 SERIES
Code M0247 - Ver.1.4
(09/2016)
SPACE s.r.l. 10090 TRANA (TO) Via Sangano, 48
Page 43/68
Tel. (+39) 011/ 934 40 300 Fax (+39) 011/ 933 88 64
e-mail: info@spacetest.it - www.spacetest.com
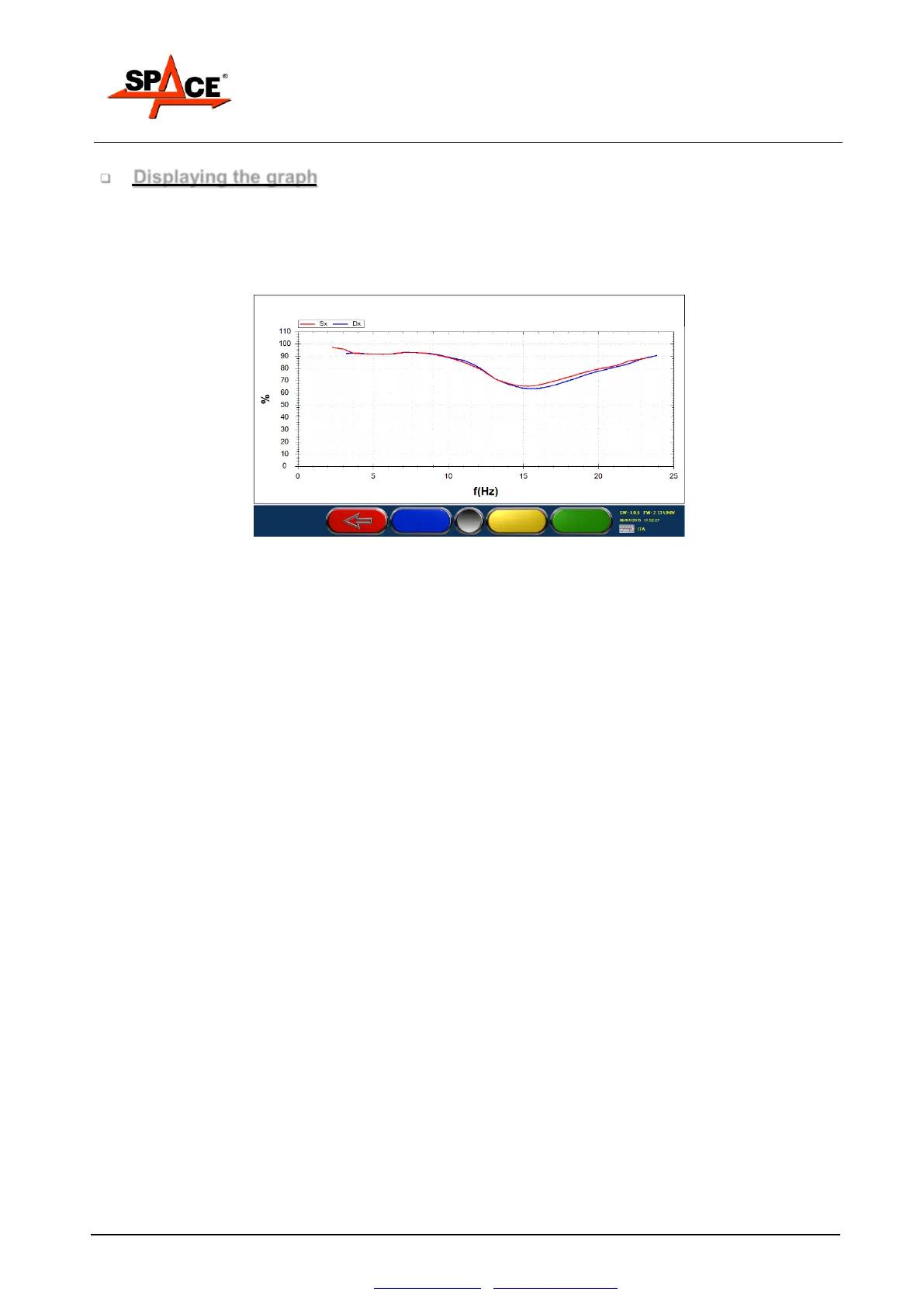
Displaying the graph
The adherence graph shows: the evolution of the percentage measurements detected on the left
and right wheels depending on the frequency of platform movement.
The lowest point of the curve shows the frequency at which minimum weight on the wheel is
detected; this frequency, called resonance frequency, is normally 12 18 Hz.
Figure 48
To exit from graph display, press the STOP/F1 key on the remote control. The monitor will once
again show the page with the numeric results of the suspension test.
At this point, the operator can store the test just performed by pressing ENTER/F3 or repeat it by
pressing START/F4.

Table of Contents