EasyManua.ls Logo

Subaru 2002 Impreza - Page 333

Subaru 2002 Impreza
598 pages
Print Icon
To Next Page IconTo Next Page
To Next Page IconTo Next Page
To Previous Page IconTo Previous Page
To Previous Page IconTo Previous Page
Loading...
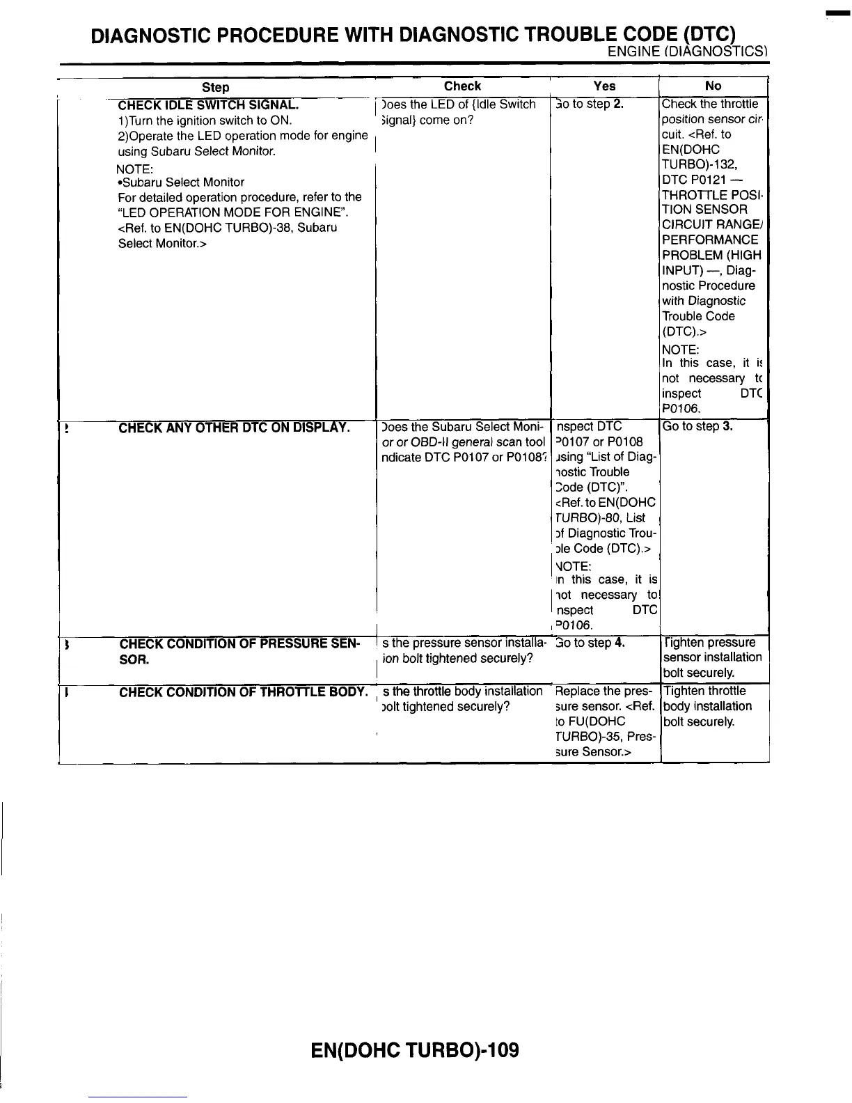
DIAGNOSTIC PROCEDURE WITH DIAGNOSTIC TROUBLE CODE (DTC)
ENGINE (DIAGNOSTICS)
Yes
20
to step
2.
nspect DTC
’0107
or PO108
Step
CHECK IDLE SWITCH SIGNAL.
1)Turn the ignition switch to ON.
2)Operate the LED operation mode for engine
using Subaru Select Monitor.
NOTE:
*Subaru Select Monitor
For detailed operation procedure, refer to the
“LED OPERATION MODE FOR ENGINE.
<Ref. to EN(D0HC TURBO)-38, Subaru
Select Monitor.>
No
Check the throttle
position sensor cir,
cuit. <Ref. to
EN(D0HC
TURBO)-132,
DTC PO121
-
THROTTLE POSI-
TION SENSOR
CIRCUIT RANGE/
PERFORMANCE
PROBLEM (HIGH
INPUT)
-,
Diag-
nostic Procedure
with Diagnostic
Trouble Code
(DTC).>
NOTE:
In this case, it
iz
not necessary tc
inspect DTC
PO1
06.
Go
to
step 3.
!
CHECK ANY OTHER DTC ON DISPLAY.
Jsing “List of Diag-
iostic Trouble
:ode (DTC)”.
:Ref. to EN(D0HC
TURBO)-80, List
if
Diagnostic Trou-
ile Code (DTC).>
VOTE:
in this case, it is
lot necessary to
nspect DTC
D0106.
30
to step
4.
1
CHECK CONDITION
OF
PRESSURE SEN-
SOR.
iighten pressure
I
CHECK CONDITION
OF
THROlTLE BODY.
Replace the pres-
sure sensor. <Ref.
to
FU(D0HC
TURBO)-35, Pres-
sure Sensor.>
~___
~ ~
Check
Ioes the LED
of {Idle Switch
jignal} come on?
sensor installation
bolt securely.
Tighten throttle
body installation
bolt securely.
loes the Subaru Select Moni-
or or OBD-ll general scan tool
ndicate DTC PO1
07
or PO1 087
s
the pressure sensor installa-
ion bolt tightened securely?
s
the throttle body installation
iolt tightened securely?
EN(D0HC TURBO)-I09

Table of Contents