EasyManua.ls Logo

Thomas 85 - Trouble Shooting 2.4

Thomas 85
216 pages
Print Icon
To Next Page IconTo Next Page
To Next Page IconTo Next Page
To Previous Page IconTo Previous Page
To Previous Page IconTo Previous Page
Loading...
2
2-5
TROUBLE SHOOTING 2.4
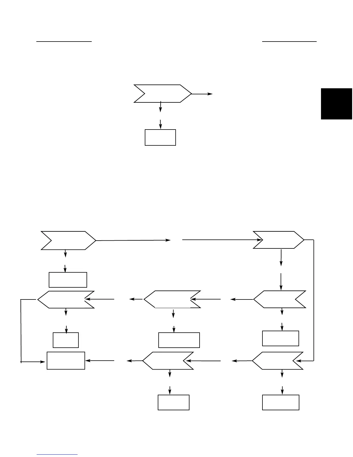
Symptom: Neutral Difficult Or Impossible To Find
Inspect external
control linkage
OK
OK
OK
OK
OK
Defective
Repair or
replace
Below level
Symptom: System Operating Hot
Check oil level
in reservoir
Check charge
pressure
Low
Repair or
replace
Reduce system
load
Repair or
replace
Inspect charge
relief valve
Clogged
Defective High
Defective
Fill to proper
level
Replace
Replace pump
and motor
Inspect motor
Check system
pressure
Inspect inlet
screen or filter
OK
OK
Check system
pressure
Low
Increase; G-
pump defective

Table of Contents

Other manuals for Thomas 85

Related product manuals