EasyManua.ls Logo

Dexcom SEVEN - Glucose Trend Screen Information

Dexcom SEVEN
144 pages
Print Icon
To Next Page IconTo Next Page
To Next Page IconTo Next Page
To Previous Page IconTo Previous Page
To Previous Page IconTo Previous Page
Loading...
Seven
System User’s Guide | 63
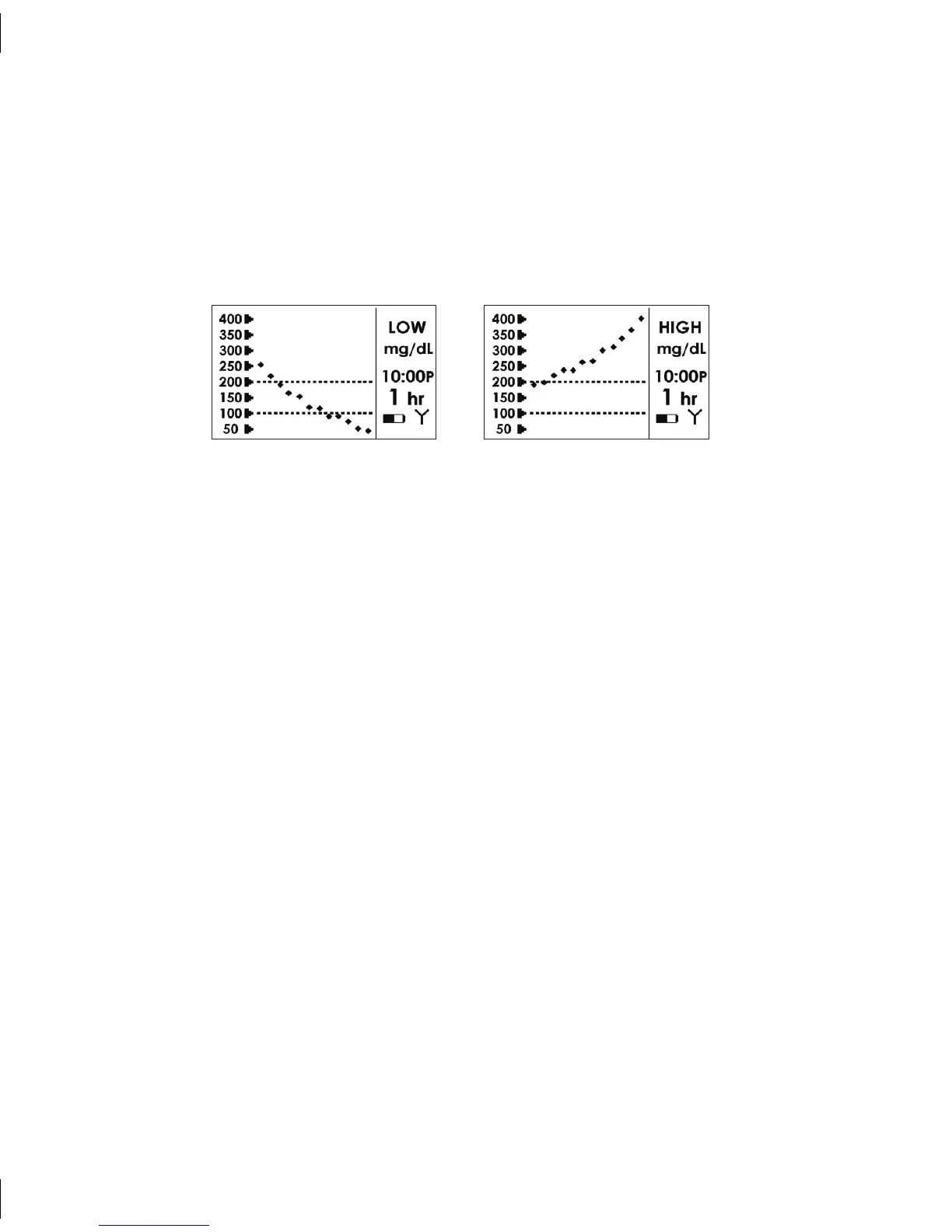
e Seven System reports glucose readings from 40 to 400 mg/dL and updates •
glucose readings every 5 minutes.
e Seven System reads “LOW” when <40 mg/dL and “HIGH” when >400
•
mg/dL
4.1.1 GLUCOSE TREND SCREEN INFORMATION
Low < 40 mg/dL High > 400 mg/dL
Each “dot” on the glucose trend screen represents a glucose reading.•
e current time is on each Glucose Trend Screen (“A” is AM and “P” is PM).•
e “dashed lines” on the Glucose Trend Screens are the High Alert and Low Alert •
Settings (see Section 7.1 to change these settings)
e 1-hour Trend Screen (1 hr) shows your current glucose reading and the last 1
•
hour of glucose readings.
e 3-hour Trend Screen (3 hr) shows your current glucose reading and the last 3
•
hours of glucose readings.
e 9-hour Trend Screen (9 hr) shows your current glucose reading and the last 9
•
hours of glucose readings.

Table of Contents

Related product manuals