EasyManua.ls Logo

Digitronic CamCon DC50 - Speed Compensation Using Off-Centre Pressure, E.g. Brake Functions

Digitronic CamCon DC50
90 pages
Print Icon
To Next Page IconTo Next Page
To Next Page IconTo Next Page
To Previous Page IconTo Previous Page
To Previous Page IconTo Previous Page
Loading...
Digitronic Digital Cam Switch Unit
Automationsanlagen GmbH CamCon DC50/51
2.1.2. Speed Compensation using off-centre pressure, e.g. brake functions
The Speed Compensation of the CamCon Cam switch unit works using a linear function. If, for
example, the speed doubles, then the shift of the compensated cam changes and also moves forward
by twice the amount. If the ram on an eccentric press should be brought to a standstill at the exact
upper stop point, the brake action of the press under different speeds results in a quadratic function.
The Speed Compensation can therefore only find an approximation of the exact switch point for the
stopping of the press by adjusting the line of the cam lines to the brake curves in the working range of
the press.
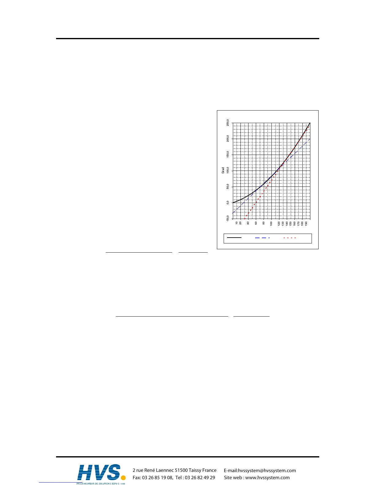
In the graphic on the right the curved line represents the
brake point of the ram in relation to the speed.
U/min
Verlauf Nocke 1 Nocke 2
For the calculation of the parameters to be programmed
please proceed as follows:
- Define the working range (e.g. 20-50 rpm) and determine
two measuring points which have to be specified in the
working process (e.g. 30 and 40 rpm).
- Now let the machine run at 30 rpm and program or
optimise a cam without Speed Compensation so that, at
switch-OFF, the ram comes to a halt in top stop. Note the
switch-ON point of the cam (e.g. 340°).
- Now let the maching work with 40 rpm and program or
optimise one cam without Speed Compensation so that,
at switch-OFF, the ram comes to a halt in top stop. Once
again, note the switch-On point of the cam. (e.g. 332°).
- Now calculate the delay time, taking into account the
distance and speed difference, using this formula:
Delay time ( in sec. ) =
way (in °) * 60 (sec./min.)
Speed (in rpm.) * 360 (°/turn)
=
340-332 * 60
40-30 * 360
=
0.133 sec.
- The calculated delay time is now entered into the cam switch unit.
- Since the switch-OFF point has shifted through the entered Speed Compensation, the previously
programmed cam must be changed first. For the calculation of the exact switch-ON position, the
difference to the speed 0 rpm (here 30 rpm) must be added to the first measured switch-ON point
(first measuring point here 340°) The difference is calculated with the following formula:
way (in °) =
delay time ( in sec. ) * Speed (in rpm.) * 360 (°/turn)
60 (sec./min.)
=
0.133 * 30 * 360
60
= 23.94°
- The switch-ON point of the cam has now shifted from 340° by approx. 24° to 364°.
As a result a cam with a switch-ON point of 4° and a speed compensation of 0.133 sec has been
calculated. This is entered in the cam switch unit as switch-OFF cam of the press.
Note: If the degree of accuracy is no longer sufficient when switch-OFF is done with one cam, two
or several outputs can be switched in parallel and the cam of those is then adjusted to the
required working range. For the calculation of two switch-OFF cams divide the working
range in 5 parts with 4 measuring points and then calculate the delay time value and the
cam value with the same formula as described above. For the calculation of the first cam,
use the measuring points 1 + 2 and for the calculation of the second cam use the
measuring point 3 + 4.
Through this association of the linear cam functions to the brake functions it is now possible to switch
OFF the cam via the entire working range of the press in the top stop.
,Version from: Aug. 04 Page: 12
2 rue René Laennec 51500 Taissy France
Fax: 03 26 85 19 08, Tel : 03 26 82 49 29
E-mail:hvssystem@hvssystem.com
Site web : www.hvssystem.com

Table of Contents

Related product manuals