EasyManua.ls Logo

Eclipse CD3200 - Display Type and Background Customization Options

Eclipse CD3200
177 pages
Print Icon
To Next Page IconTo Next Page
To Next Page IconTo Next Page
To Previous Page IconTo Previous Page
To Previous Page IconTo Previous Page
Loading...
How
to
operate
the
CD/MP3IWMA
player
ID3/WMA tag
MP3IWMA files have
an
"103 / WMA
Tag"
that allows input of information so that data such as song
title and artist can
be
saved,
This main unit supports
103v.
1,0,
1.1
and WMA tags.
Media
Media capable
of
playing MP3IWMA includes CO-R and CO-RW discs. Compared to CD-ROM
media commonly used for music discs, CD-R and CD-RW discs are fragile
in
high temperature/high
humidity environments and one section of the CD-R and CD-RW may become incapable
of
playback. Fingerprints or scratches
on
the disc may prevent playback or cause skipping during
playback. Sections
of
a CD-R and CD-RW may deteriorate if left inside a vehicle for long periods
of
time. It is also recommended that CD-R and CO-RW discs be kept
in
a light-blocking case because
the discs are vulnerable to ultra-violet light.
Format
of
discs
The format
of
discs to be used must be
IS09660
Level 1 or Level
2.
Control items for this standard are as follows:
Maximum layers
in
directory:
8 layers
Maximum characters for folder names/file names:
32 (including "," and 3 letter file extension)
Allowable characters for folder names/file names:
A-Z,
0-9,
_ (underscore)
Number of files possible
on
a single disc:
999
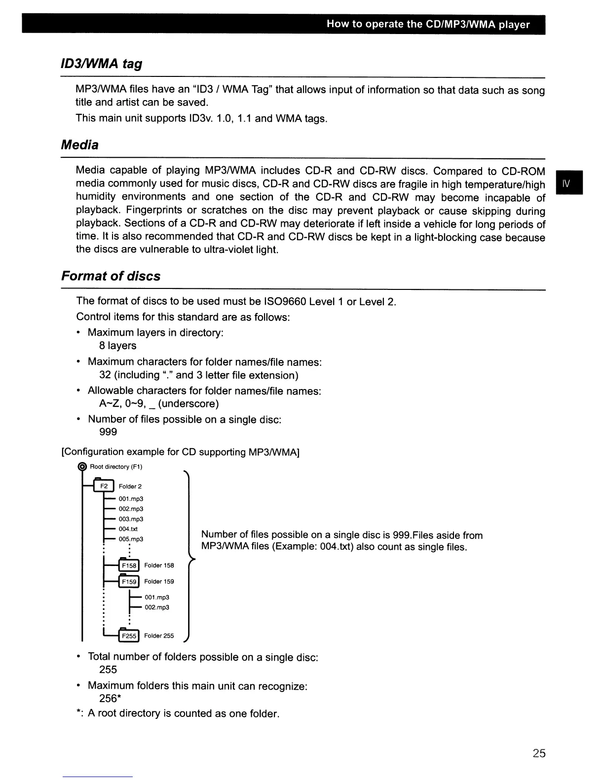
[Configuration example for
CD
supporting MP3IWMA]
(I
Root directory (F1)
Folder 2
001.mp3
002.mp3
003.mp3
004.1xt
005.mp3
Number of files possible
on
a single disc
is
999.Files aside
from
MP3IWMA files (Example: 004.txt) also count
as
single files.
~
Folder158
~
Folder159
:
~
001.mp3
t--
002.mp3
~
Folder255
Total number
of
folders possible
on
a single disc:
255
Maximum folders this main unit can recognize:
256*
*:
A root directory is counted as one folder.
25

Table of Contents

Other manuals for Eclipse CD3200

Related product manuals