EasyManua.ls Logo

junger D*AP4 FLX - Page 55

Default Icon
88 pages
Print Icon
To Next Page IconTo Next Page
To Next Page IconTo Next Page
To Previous Page IconTo Previous Page
To Previous Page IconTo Previous Page
Loading...
D*AP4
51
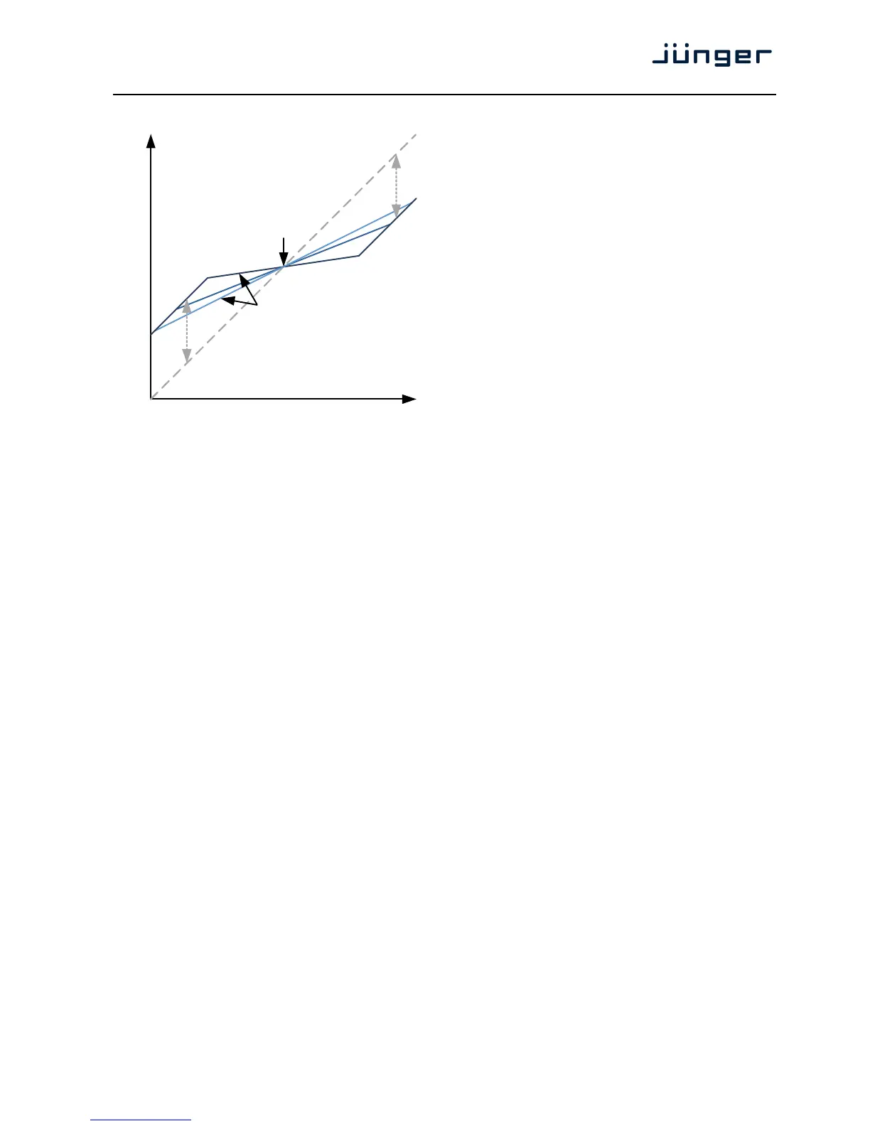
output
input
reference
level
compression ratios
range
range
Jünger Audio – Upward Compressor
Reference Not to be confused with threshold, this
Level parameter defines the turning point of the
(dBFS) response curve from upward to
downward compression (see picture).
When set to 0dBFS, the signal is
amplified according to the ratio and range
settings.
Range (dB) This defines the range over which
dynamic compression is applied as
defined by the ratio setting. Signals
outside of this range are still reduced or
amplified but not altered in their dynamic
structure.
Ratio Determines the amount of gain reduction
by a selectable ratio. Although the same
in mathematical terms, understanding is
easier when differentiating between
upward and downward compression:
Processing The timing characteristics of the compressor are generated adaptively
according to the incoming signal structure. The overall timing can be
set up from fast and responsive settings (lower numbers) to relaxed
settings (higher numbers) without detailed access to the actual micro
timings. The names behind some of the numbers may help to easily
find adequate values to your content.
Expert [ON / OFF]
Clear Processing History This is a triggered action that resets the dynamic processing without
any release time. Imagine it as a short circuit to the timing circuits of
an analog dynamic processor which discharges the whole system and
immediately returns the dynamic gain to its neutral state. This function
is useful to reset the process when switching programs (e.g. from
movie to commercial breaks).

Table of Contents

Related product manuals