EasyManua.ls Logo

Schweitzer Engineering Laboratories SEL-587Z - Figure 3.18 U.S. Inverse Curve: U2

Schweitzer Engineering Laboratories SEL-587Z
276 pages
Print Icon
To Next Page IconTo Next Page
To Next Page IconTo Next Page
To Previous Page IconTo Previous Page
To Previous Page IconTo Previous Page
Loading...
3.20
SEL-587Z Instruction Manual Date Code 20020903
Relay Elements
Overcurrent Protection
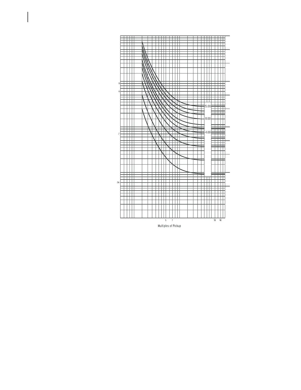
Figure 3.18 U.S. Inverse Curve: U2.
0.50
6.00
5.00
3.00
2
.00
1
.00
12
.00
10.0
0
.01
.5
.6
.7
.8
.9
1
.02
.03
.04
.05
.09
.07
.08
.1
.2
.3
.4
.5
.6
.9
.8
1
4
2
3
6
8
9
1
0
40
20
30
70
50
90
100
80
1
0
2
3
4
5
7
8
2
0
50
30
4
0
60
7
0
1
00
90
T
im
e
in
Seco
n
ds
T
ime in C
y
cles 60 Hz (50Hz)
3
(
2.5
)
6
(
5
)
15
(
12.5
)
30
(
25
)
60
(
50
)
600
(
500
)
150
(
125
)
300
(
250
)
1500
(
1250
)
3000
(
2500
)
6000
(
5000
)

Table of Contents

Related product manuals