EasyManua.ls Logo

Schweitzer Engineering Laboratories SEL-587Z - Figure 3.25 I.E.C. Long-Time Inverse Curve: C4

Schweitzer Engineering Laboratories SEL-587Z
276 pages
Print Icon
To Next Page IconTo Next Page
To Next Page IconTo Next Page
To Previous Page IconTo Previous Page
To Previous Page IconTo Previous Page
Loading...
3.27
Date Code 20020903 SEL-587Z Instruction Manual
Relay Elements
Overcurrent Protection
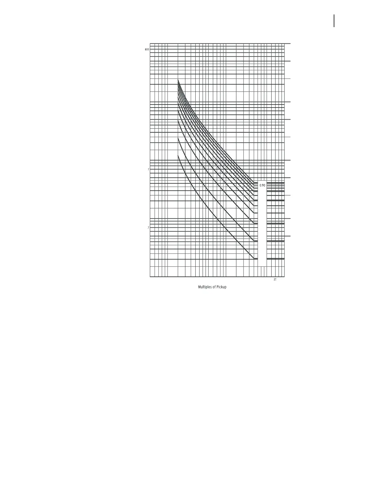
Figure 3.25 I.E.C. Long-Time Inverse Curve: C4.
0.
2
0
0.
1
0
0.05
1
.00
0.80
0.
7
0
0.60
0.50
0.
4
0
0.30
.7
.6
.5
.1
.9
.8
1
.4
.2
.3
.5
.6
.8
.9
1
2
3
4
5
6
4
2
3
7
6
5
10
9
8
40
20
30
50
60
80
90
100
50
9
8
1
0
2
0
30
4
0
300
2
00
1
00
80
60
7
0
90
1
000
900
7
00
600
500
4
00
T
im
e
in
Seco
n
ds
T
ime in C
y
cles 60 Hz (50Hz)
30
(
25
)
60
(
50
)
150
(
125
)
300
(
250
)
3000
(
2500
)
600 (500
)
1500
(
1250
)
6000
(
5000
)
15000
(
12500
)
30000
(
25000
)
60000
(
50000
)

Table of Contents

Related product manuals