EasyManua.ls Logo

Tektronix TAS 475 - Nominal Traits; Table 1-1: Nominal Traits - Vertical Deflection System

Tektronix TAS 475
238 pages
Print Icon
To Next Page IconTo Next Page
To Next Page IconTo Next Page
To Previous Page IconTo Previous Page
To Previous Page IconTo Previous Page
Loading...
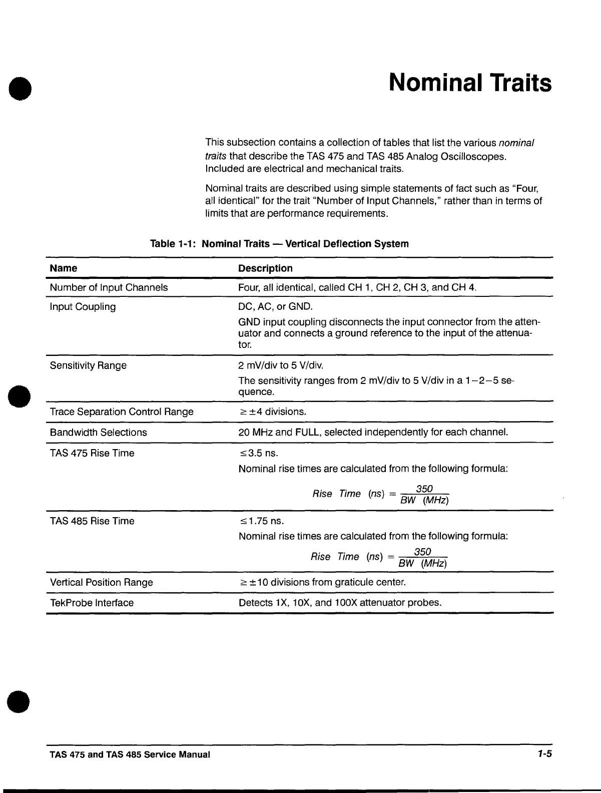
Nominal Traits
This subsection contains a collection of tables that list the various nominal
traits that describe the
TAS
475 and
TAS
485 Analog Oscilloscopes.
Included
are electrical and mechanical traits.
Nominal traits are described using simple statements of fact such
as
"Four,
all identical"
for the trait "Number of Input Channels," rather than
in
terms of
limits that are performance requirements.
Table 1-1: Nominal Traits - Vertical Deflection System
Name
Number of Input Channels
Input Coupling
Sensitivity Range
Trace Separation
Control Range
Bandwidth
Selections
TAS
475 Rise Time
TAS
485 Rise Time
Vertical Position Range
TekProbe
Interface
TAS 475 and TAS 485 Service Manual
Description
Four,
all identical, called
CH
1,
CH
2,
CH
3,
and CH
4.
DC, AC, or GND.
GND input
coupling disconnects the input connector from the atten-
uator and connects a ground reference to the input of the attenua-
tor.
2 mV/div to 5 V/div.
The sensitivity ranges from
2 mV/div to 5 V/div
in
a
1-2-5
se-
quence.
~
±4
divisions.
20 MHz and FULL, selected independently for each channel.
:s;
3.5 ns.
Nominal rise times are calculated from the following formula:
:s;
1 .75 ns.
350
Rise Time
(ns)
= BW (MHz)
Nominal rise times are calculated from the following formula:
R
·
()
350
Ise
,Ime
ns = BW (MHz)
~
± 10 divisions from graticule center.
Detects 1
X,
10X, and 100X attenuator probes.
1-5
Scan by Zenith

Table of Contents

Related product manuals