EasyManua.ls Logo

Thomas 85 - Page 63

Thomas 85
216 pages
Print Icon
To Next Page IconTo Next Page
To Next Page IconTo Next Page
To Previous Page IconTo Previous Page
To Previous Page IconTo Previous Page
Loading...
2-7
2
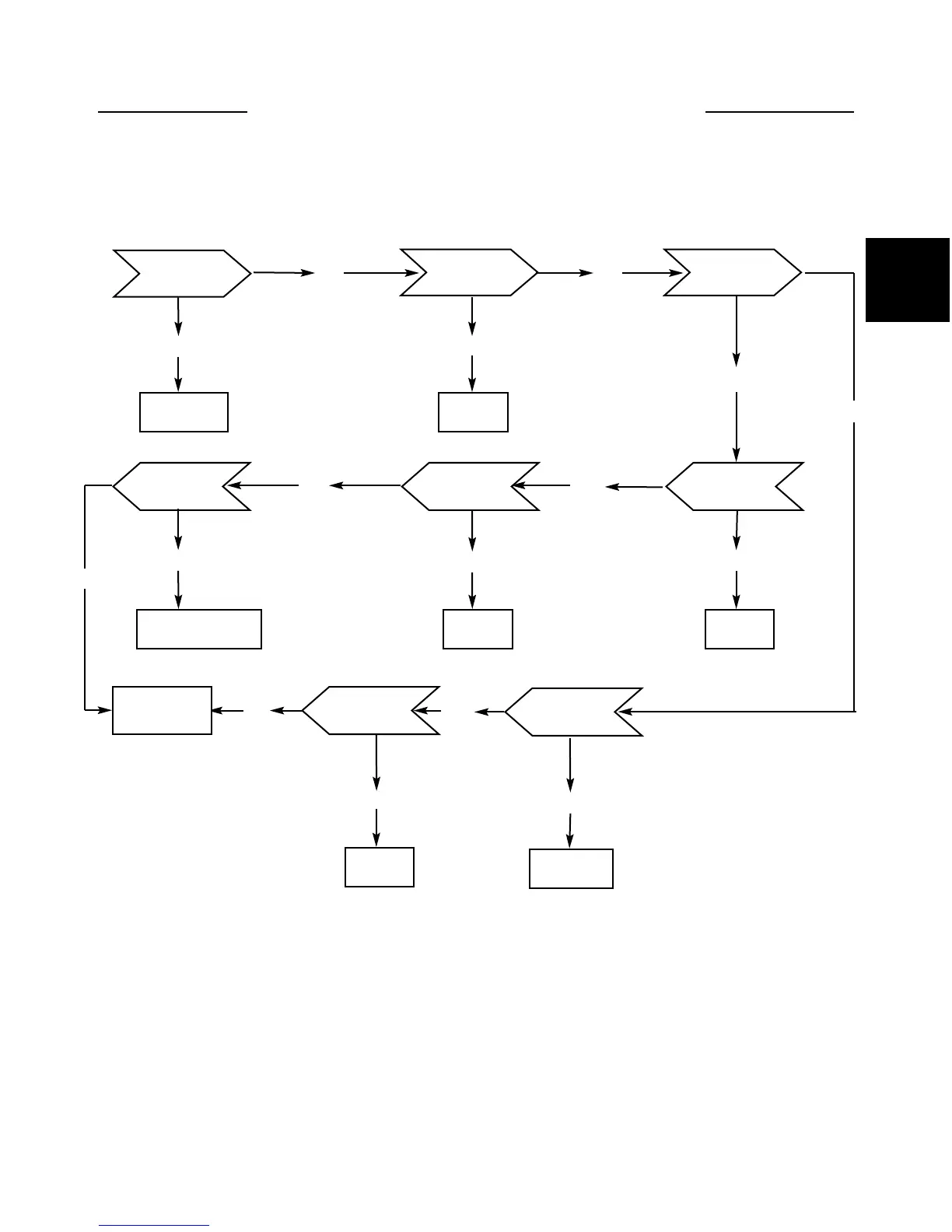
TROUBLE SHOOTING 2.4
Symptom: System Will Not Operate In Either Direction
Repair or
replace
Fill to proper
level
Replace
Repair or
replace
Reduce sys-
tem load
Repair or
replace
Increase; G-pump
defective
Defective
Low Clogged
Defective
High
Low
Defective
OK
OK
OK
OK
OK
OK
Inspect inlet
screen or filter
Inspect motor
Check sys-
tem pressure
Replace pump
and motor
Inspect charge
relief valve
Check system
pressure
Check charge
pressure
Check external
control linkage
Check oil level
in reservoir
Below level
OK
OK

Table of Contents

Other manuals for Thomas 85

Related product manuals