EasyManua.ls Logo

ABB FSO-21 - Page 338

ABB FSO-21
540 pages
Print Icon
To Next Page IconTo Next Page
To Next Page IconTo Next Page
To Previous Page IconTo Previous Page
To Previous Page IconTo Previous Page
Loading...
338 Configuration
See also section Configuring mute times on page 393.
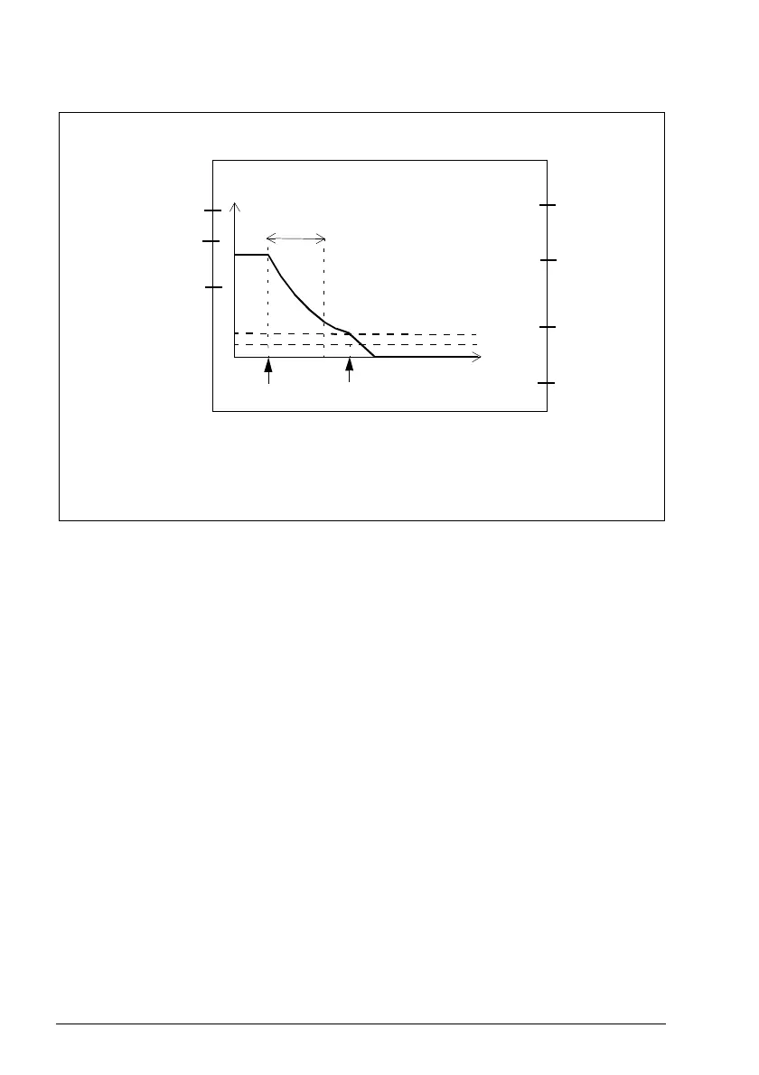
Speed
Time
SBC activated
STO activated
Inputs
Outputs
STO.02 = Automatic
STO.21
= None
STO.22
= None
SBC.21
= DO X113:7
& X114:7
SBC.11 = Speed limit
SBC.22 = STO
SAFEIO.23 = Mechanically linked NC contacts
STO.11
= DI X113:1 & X114:1
STO.12
= None
SBC.14
= 60 rpm
FSOGEN.52
= 40 rpm
SAFEIO.53, SAFEIO.56 = On
SAFEIO.22
= DI X113:2
STO.13 = 500 ms
SAFEIO.21
= DO X113:7
& X114:7

Table of Contents

Related product manuals