EasyManua.ls Logo

Adtech iMASTER – A1 Series - PF (Input Power Loss)

Default Icon
198 pages
Print Icon
To Next Page IconTo Next Page
To Next Page IconTo Next Page
To Previous Page IconTo Previous Page
To Previous Page IconTo Previous Page
Loading...
A1-User’s Manual
187
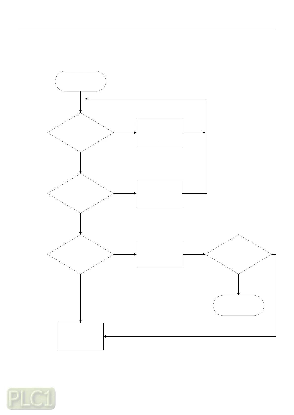
9.2.9 PF (Input Power Loss)
1) Diagnostic flow chart
PF
R,S,T Wiring is loose
or loosed?
Tighten the screw
or connect it again
Input regulation
voltage is bigger than
3%?
Install a AC
reactor between
power supply and
VFD
No
No
Yes
Yes
Input diode is ok?
No
Yes
Replace diode
modules or Power
PCB
Increase the value
31.16
by 5 until 30
PF is occurred?
END
No
Yes

Table of Contents