EasyManua.ls Logo

Entron iPAK2 - 9. Duty Cycle Limiter; Duty Cycle Calculation and Protection

Entron iPAK2
83 pages
Print Icon
To Next Page IconTo Next Page
To Next Page IconTo Next Page
To Previous Page IconTo Previous Page
To Previous Page IconTo Previous Page
Loading...
iPAK2 User Guide
61
3
See Duty cycle limiter
9. Duty cycle limiter
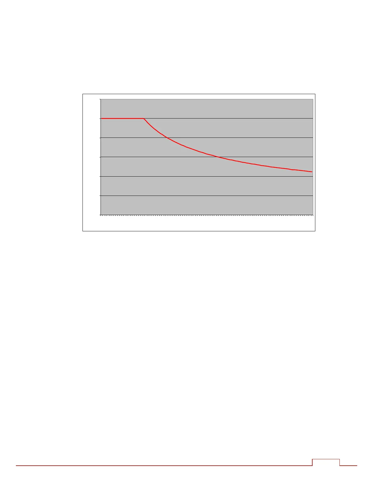
Duty is calculated over a 2 second averaging time. The inverter rating applies at up to 20% duty. At
higher duties the maximum output current must be de-rated as shown by the curve below:
The iPAK2 protects against weld sequences that would exceed the allowable duty cycle. In this
event the inverter will
Stop at the end of a spot weld
Stop immediately in a seam weld
The READY signal will be de-asserted and an error message given. Further initiation is prohibited.
Perform a ‘RESET FAULT’ operation to clear.
0.00
0.20
0.40
0.60
0.80
1.00
1.20
0 102030405060708090100
% Du ty
De-rating factor

Table of Contents

Other manuals for Entron iPAK2

Related product manuals